簡介
應變能是指以應變和應力的形式貯存在物體中的勢能,又稱變形能。應變余能指的是某一熱工藝系統排出的未被利用的能量。即生產過程中可回收利用的損失能量 。
表達式
應變余能應變能
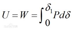
以一維問題為例,一個截面積為A、長度為L的等截面直桿在軸向外力P1的作用下伸長δ1。如果不考慮變形過程中的動力效應和溫度效應,則外力作的功W全部貯存到桿中,變成了桿的應變能U,其值為:
應變余能
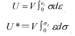
應變余能式中P為變形過程中與伸長量 對應的載荷。在P-δ曲線中,曲線下方的面積相當於桿中的應變能。而和曲線上方的面積相應的為余應變能(簡稱余能),記為U*,其值為:
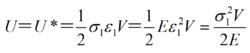
應變余能式中V=LA為桿的體積;δ=P/A為桿中的應力; σ= /L為桿中的應變; ε1、δ1分別為P1、1對應的應力和應變。如果桿的材料為線彈性的(即應力和應變成正比),則應變能和余能相等,即:
應變余能
應變余能
應變余能式中E為彈性模量。
在三維問題中,有六個獨立的應力分量和六個獨立的應變分量。在小變形的情況下,每個應力分量在相應的應變分量上作功,因此應變能和余能的表達式都包括六項:
應變余能式中 δxx、δyy、δzz、δxy、 δxz、δyz為物體在載入過程中的應力分量;εxx、εyy、εzz、εxy、εxz、εyz分別為與上述應力分量相應的應變分量;積分上限的下標1表示載入終點。對於線彈性體則有 :
應變余能
