基本概念
應力莫爾圓釋文:應力莫爾圓1914年提出。表示點的應力狀態的以正應力(σ)
和剪應力(τ)為直角坐標系的圓。其圓心為[(σ1+σ3)/2,0],半徑為(σ1-σ3)/2,與σ軸交於兩點,即σ1和σ3。不同的應力狀態可用一系列的圓來表示,用於材料的應力應變分析
。
α:主平面與截面的夾角,或截面的法線與最大主壓應力的夾角。
方程
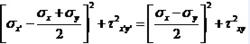
應力莫爾圓方程平面上應力莫爾圓的方程
:

材料力學專有詞。由莫爾(Mohr)於1914年提出。表示點的應力狀態的以正應力(σ)和剪應力(τ)為直角坐標系的圓。其圓心為[(σ1+σ3)/2,0],半徑為(σ1-σ3)/2,與σ軸交於兩點,即σ1和σ3。不同的應力狀態可用一系列的圓來表示,用於材料的應力應變分析。α:主平面與截面的夾角,或截面的法線與最大主壓應力的夾角。
應力莫爾圓釋文:應力莫爾圓1914年提出。表示點的應力狀態的以正應力(σ)
和剪應力(τ)為直角坐標系的圓。其圓心為[(σ1+σ3)/2,0],半徑為(σ1-σ3)/2,與σ軸交於兩點,即σ1和σ3。不同的應力狀態可用一系列的圓來表示,用於材料的應力應變分析
。
α:主平面與截面的夾角,或截面的法線與最大主壓應力的夾角。
應力莫爾圓方程平面上應力莫爾圓的方程
:
應力圓是用來表示土體內任一微小單元的應力狀態。
應力圓 正文 配圖 相關連線莫爾圓在應力(或應變)坐標圖上表示受力(或變形)物體內一點中各截面上應力(或應變)分量之間關係的圓。表示應力的稱為應力莫爾圓;表示應變的稱為應變莫爾圓。
概述 性質狀態。 應力狀態和應變狀態應力圓 是分析應力狀態的圖解法。在已知一點處相互垂直的待定截面上應力的情況下,通過應力圓可求得該點處其他截面上的應力。應力圓也稱莫爾圓。圖2b即為圖2a所示平面應力狀態下表示垂直於xx...
應力狀態和應變狀態 正文 配圖 相關連線應力狀態(stress state)指的是物體受力作用時,其內部應力的大小和方向不僅隨截面的方位而變化,而且在同一截面上的各點處也不一定相同。應變狀態理...
莫爾強度理論是莫爾於1900年提出的,認為材料發生破壞是由於材料的某一面上剪應力達到一定的限度,而這個剪應力與材料本身性質和正應力在破壞面上所造成的摩擦...
概述 參考詞目:莫爾包絡面 英文:Mohr 釋文:莫爾包絡面是引起破壞的應力坐標點的軌跡。
用應力圓(即莫爾圓)表達他的理論,方法是對材枓作三個破壞試驗,即單向拉伸...:σ-σ≥σ,式中σ是屈服正應力。第四強度理論莫爾強度理論第四強度理論 又稱最大...抗拉強度。為了校核這類材料在二向應力狀態下的強度,德國的O.莫爾於1900年...
破壞形式 常用理論 套用。工程力是指作用在工程岩體上的力的總和,它可以是重力、構造殘餘應力、水的作用力和工程擾動力以及膨脹應力等;顯著塑性變形是指以塑性變形為主體的變形量超...構造殘餘應力的礦區,其公式為: (1) (2) 在構造應力...
簡介