介紹
情緒指數情緒臉譜心理學上用“情緒指數”來衡量人的情緒,其公式為:情緒指數=期望實現值/內心期望值。這個公式告訴我們,在期望實現值確定的情況下,內心期望值高,其情緒指數就低,個人就體驗到較多的消極情緒;反之,情緒指數就高,人就體驗到較多的積極情緒。期望值越高,心理上的情緒衝突越大,成功帶來的滿足感越弱,失敗帶來的挫折感越強烈。
心理學家把人在面對挫折時的反應的敏感點稱為“心理情結”或“心理按鈕”。張先生對工作的挫敗產生情緒過激反應,通常影射出他在潛意識裡仍有些沒有得到矯正的心理按鈕—恨別人不公平,只有“你輸我贏”的觀念。當他有了抱怨,眼睛看到的都是負面的事情,所以總會認為現在自己在愛情中“一無是處”,從而想換人,尋求一個新的感情歸宿。如果是抱這種心態開始另一段愛情,則會輕易放棄自己原有的感情基礎,結果或許會陷入另一個愛情抱怨的惡性循環中。
情緒指數是用來衡量社會情緒波動狀況的綜合指數,心理學上的情緒指數並不能滿足數值上具體表達情緒的程度。通過建立情緒指標體系,研究指標之間的關係,最終確定模型將情緒歸一化計算得出社會情緒指數。其數值度量是社會情緒在消極與積極區間內的相對值。情緒指數的計算有便於對社會情緒有綜合了解和全局把握。
背景
情緒,是對一系列主觀認知經驗的通稱,是多種感覺、思想和行為綜合產生的心理和生理狀態。最普遍、通俗的情緒有喜、怒、哀、驚、恐、愛等,也有一些細膩微妙的情緒如嫉妒、慚愧、羞恥、自豪等。
一般而言,情緒是個體心理現象,具有激發個體行為的能力。同時,它也是一種社會角色,與許多社會以及文化建設息息相關。
現階段關於情緒的研究主要屬於定性的範疇,定量的技術並不是很多。大多學者主要致力於判斷情緒的種類,在輿情預警方面,也主要通過正面情緒和負面情緒的粗線條分析處理。情緒的多維性導致了其作為心理現象,是不斷變化且難以穩定定位的。因此,社會情緒指數的研究並不是特別多。
作用
社會情緒指數作為一種量化的統計數據,可以衡量社會情緒波動的綜合狀況。其既有助於從時間上把握社會情緒的走向和趨勢變化,也可以橫向對比不同空間的情緒狀態。還可以從變化中挖掘社會的熱點和輿情,以及人們在社會熱點輿情中所持有的情感態度,計算社會情緒指數有助於在輿情分析中把握輿情的情感發展趨勢。
計算方法
(1)確定指標體系
關於情緒的劃分,不同領域有不同說法。我國古代流傳喜、怒、哀、樂、愛、惡、欲的七情說。心理學家伊扎德提出人類有9種基本情緒:興奮、喜悅、驚駭、悲痛、 憎惡、憤怒、羞恥、恐懼、傲慢 。普拉切特、克雷奇、笛卡爾等也提出了不同的情緒理念。為了能夠從消極和積極的角度考慮情緒,結合現有的情緒研究,本指數主要基於怒、惡、悲、懼、無、驚、好、樂這8種子情緒構成社會情緒指標體系。
(2)計算情緒波動
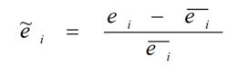
對於整個社會來說,不同情緒所占比重在長時間內是處於穩定狀態的。現階段情緒與穩定狀態之間的差別形成情緒的波動,可以用來計算社會情緒指數。同時以各情緒比例波動作為基礎,可消除各情緒占比不同所引起的量綱差異性。
情緒波動參數:
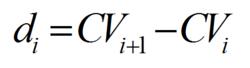
情緒指數……第i種情緒的波動值
其中:
情緒指數………第i種情緒的比重
情緒指數………第i種情緒在特定時間內的平均比重(基數)
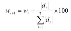
(3)確定權重
從消極到積極可將情緒劃分為怒、惡、悲、懼、無、驚、好、樂,但實際上相鄰情緒之間的差別並不一定是相等的。怒與惡之間的差別並不一定等同於好與樂之間的差別。因此,各情緒的權重並不是簡單的等差數列,本指數引入離散係數來衡量8種情緒之間的差別。
離散係數可以比較不同水平的變數數列的離散程度及平均數的代表性,也可以比較分布情況差異。因此可以作為判斷相鄰情緒距離的標準。對於相鄰的兩種情緒,二者離散係數差別越小,說明這兩種情緒來自於同一總體的機率越大,也即情緒之間的差別越小,反之則兩者之間的差別越大。因此,對於權重的計算可分以下步驟進行:
A. 將情緒權重定義在[-50,50]的區間之內。並設定惡為-50,樂為50。
B. 計算相鄰情緒之間離散程度的差別d。
情緒指數C. 計算各情緒權重
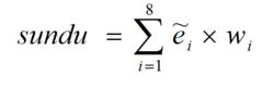
情緒指數(4)計算社會情緒指數
將各情緒指標進行線性組合得到社會情緒指數(三杜指數):
情緒指數
