定義
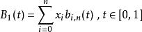
德卡斯特里奧算法貝茲曲線B(角度為n,控制點 )可用以下方式運用德卡斯特里奧算法:
德卡斯特里奧算法其中,b為伯恩施坦基本多項式。
德卡斯特里奧算法曲線在t0點上可以用遞推關係式運算。
德卡斯特里奧算法
德卡斯特里奧算法
德卡斯特里奧算法
德卡斯特里奧算法
德卡斯特里奧算法
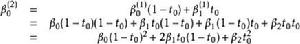
德卡斯特里奧算法然後, 在 點上的計算可以此算法的 步計算。 的結果為:
德卡斯特里奧算法
德卡斯特里奧算法
德卡斯特里奧算法再者,貝茲曲線 可在 分成帶有各種控制點的兩段曲線:
德卡斯特里奧算法注意事項
進行手算時把係數寫成三角形形式很有用。
德卡斯特里奧算法當選擇一點t0來計算波恩斯坦多項式時,我們可以用三角形形式的兩個對角線來構造多項式的分段表示。
德卡斯特里奧算法把它變成
德卡斯特里奧算法以及
例子
我們要計算2次波恩斯坦多項式,其伯恩斯坦係數為
德卡斯特里奧算法
德卡斯特里奧算法
德卡斯特里奧算法在t0點計算。
我們有下式開始遞歸
德卡斯特里奧算法
德卡斯特里奧算法遞歸的第二次重複結束於
德卡斯特里奧算法這就是我們所預料的n階伯恩斯坦多項式。
貝塞爾曲線
在計算帶n+1個控制點Pi的三維空間中的n次貝塞爾曲線 (Bézier curve) 時:
德卡斯特里奧算法
德卡斯特里奧算法其中,
我們把Bézier曲線分成三個分立的方程:
德卡斯特里奧算法
德卡斯特里奧算法
德卡斯特里奧算法然後我們用de Casteljau算法分別計算。
偽代碼例子
這是一個遞歸的畫出一條從點P1到P4,彎向P2和P3的曲線的偽代碼例子。級數參數是遞歸的次數。該過程用增加了的級數參數來遞歸的調用它自己。當級別達到最大級別這個全局變數時,在P1和P4之間就畫上直線。函式中點(midpoint)去兩個點,並返回這兩點間的線段的中點。
