分類
根據結構中是否具有高速旋轉轉子而分為常規速率陀螺儀和非常規速率陀螺儀兩大類。常規速率陀螺儀是受彈性約束的單自由度陀螺儀,可分為機械彈簧約束(如扭桿式速率陀螺儀)和電彈簧約束(如力反饋式速率陀螺儀)兩種速率陀螺儀。非常規速率陀螺儀是指結構中無高速旋轉的轉子,但有測量運動角速度的功能,如振梁式壓電晶體速率陀螺儀、振弦式速率陀螺儀以及撓性片式、磁流體式雙軸速率陀螺等。
原理
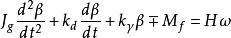
微分陀螺儀,阻尼係數很小,同時只考慮載體X軸向的角速度輸入,其傳遞函式為:
微分陀螺儀
微分陀螺儀
微分陀螺儀
微分陀螺儀
微分陀螺儀其中, 為進動角, 為陀螺轉子的轉動慣量,H為陀螺的角動量, 為載體的角速度輸入, 是彈性係數。
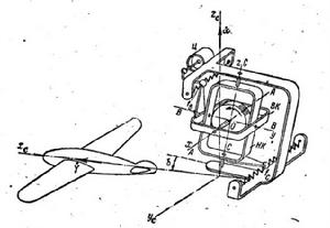
微分陀螺儀圖中標註直角坐標系Oxyz,X軸沿框架軸旋轉方向。Y軸稱為陀螺儀的輸入軸。因為微分陀螺儀就是測量它的 殼體繞Y軸轉動的角速度W,故又稱為測量軸。Z的方向為主軸起始位置,即當W=0時,Z軸應與Z重合。
兩根彈簧應調節得使主軸在起始位置時,彈簧作用於框架上的力矩為零。X軸稱為輸出軸,因為具有角速度的殼體將引起框架繞X軸轉動。
微分陀螺儀
微分陀螺儀當轉子高速旋轉時,殼體以角速度W繞Y軸轉動。根據二自由度陀螺特性,將產生陀螺力矩Mg,使H以最短途徑向 運動,從而將使轉子軸抬頭向上轉動,主軸將偏離起始位置Z軸。當框架繞X軸轉動時,彈簧將產生彈性力矩M反抗陀螺力矩M。只有在陀螺力矩和彈性力矩以及框架轉動而引起的摩擦力矩M相平衡時,框架停止轉動。這時框架運動的角 就反映了殼體Y軸轉動的角速度 。
微分陀螺儀結構
微分陀螺儀
微分陀螺儀
微分陀螺儀
微分陀螺儀陀螺的轉子3裝在框架4內,框架4支承在殼體5中,它可以繞冀軸轉動。框架旋轉軸的一邊固定一個槓桿臂,臂上裝兩根彈簧7,這兩根彈簧的另一端固定在儀表殼體上。彈簧用來產生作用於框架上的力矩,這個力矩比例於它在任一方向偏離起始位置的偏轉角,並使框架向反方向轉動。框架旋轉軸的另一邊也有一個槓桿臂,臂端連線空氣阻尼器2。圖中標註了直角坐標系O,x軸沿著框架的旋轉軸方向,y軸稱為測量軸或稱陀螺的輸入軸(因為這種微分陀螺儀是用來
測量它的殼體繞y軸的轉動角速度的),Z軸的方向作為陀螺主軸的起始位置,即當=0時Z軸應與Z軸重合。兩根彈簧應調節得使主軸在起始位置時彈簟作用於框架上的力矩等於零。x軸稱為陀螺儀的輸出軸,因為具有角速度的殼體將引起框架繞x軸的轉動。
種類示例
扭桿速率陀螺儀
微分陀螺儀
微分陀螺儀
微分陀螺儀
微分陀螺儀
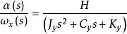
微分陀螺儀它是一種繞輸出軸對陀螺儀施加機械彈性約束的單自由度陀螺儀,其工作原理是:當基座以角速度 轉動時,立即產生繞輸出軸的陀螺力矩,並使浮子組件繞輸出軸轉動,與此同時,扭桿產生彈性恢復力矩。在轉動動態過程的振盪效應被阻尼器吸收。在穩態時,陀螺力矩 與彈性恢復力矩 相平衡,輸出轉角 與輸入角速度 成比例。
套用
微分陀螺儀
微分陀螺儀
微分陀螺儀
微分陀螺儀
微分陀螺儀在自動控制飛機飛行時,為了使飛機的自振衰減,不僅要把與飛機繞其對稱軸轉角成比例的信號送入控制自動器,而且還要把與轉動角速度及角加速度成此例的信號輸入自動控制器。二自由度陀螺轉速儀可以將飛機隨時間變化的轉角值加以微分。事實上,陀螺轉速儀繞支架軸轉角 的變化近似地與飛機轉角 對時間的微分成此例(這裡令 )。如果 變化的頻率此陀螺轉速儀的自振頻率n大得愈多,那么測量 的準確度也就愈大。因此,如果將二自由度陀螺轉速儀固定在飛機上,則可以對飛機繞對稱軸的轉角進行微分。
微分陀螺儀直接固定在儀表殼體上的彈簧f與f來限制陀螺自由旋轉,如右圖所示。 此外,外環裝在內環裡面是這種儀表構造上的一個特點。為了減小由於飛機繞軸Ox振盪所引起的儀表指示誤差,我們將陀螺儀的底座裝成與軸Ox。成一個角度d。
微分陀螺儀
微分陀螺儀
微分陀螺儀
微分陀螺儀由於飛機以角速度 與 繞軸Oz與Ox旋轉的結果,陀螺儀的底座將以角速度 與 繞軸BB與CC旋轉,陀螺的轉角取決於角速度與角加速度。
