微分碰撞截面
正文
單位時間內散射到單位立體角中的粒子數與通過垂直入射方向上的單位面積的粒子數之比。在分子散射實驗中,不是測量單個分子的碰撞軌跡,而是測量由固定方向入射的分子束經碰撞後發生的偏轉數,由於所有可能的碰撞參數都存在,存在著一個與偏轉角度θ有關的幾率函式。在質心坐標系中,這個幾率函式叫做微分碰撞截面I(θ)。這是因為它具有面積的量綱。在最簡單的情況下,設碰撞粒子間的作用力是球形對稱的,則單位立體角:
dΩ =2πsinθdθ
單位時間內在偏轉角θ和θ+dθ之間散射的粒子數為:dQ=I(θ)dΩ =2πI(θ)sinθdθ
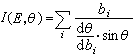
對於一個給定速度的粒子束,散射到θ和θ+dθ(見圖)
之間的分子數等於入射粒子束從寬度為db,面積為2πbdb的圓環中通過的分子數: dQ=2πbdb=2πI(E,θ)sinθdθ
或


