原理
為保持兩個流動系統在重力作用下的相似,流體的慣性力與重力之比值必須相等,即弗勞德數相等 。
公式特性
弗勞德相似準則(1)
弗勞德相似準則(2)
弗勞德相似準則式中,u為流速;g為重力加速度;L為特徵長度;,為弗勞德數;p、m為下標,分別代表原型和模型 。
弗勞德相似準則
弗勞德相似準則
弗勞德相似準則
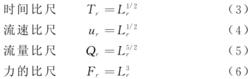
弗勞德相似準則由於原型和模型均在同一重力場中,;若使用相同的流體進行試驗,其密度;因此按弗勞德相似準則選定模型長度比尺時,相應得到各物理量的比尺如圖。
在水工模型試驗中,主要依據弗勞德相似準則設計模型 。
