Fr數的公式
流體力學中表征流體慣性力和重力相對大小的一個無量綱參敦,記為Fr。它表示慣性力和重力量級的比,即:Fr=U/gL,式中U為物體運動速度,g為重力加速度;L為物體的特徵長度。
Fr數對應的公式
在流體力學中稱Fr=v/sqrt(lg)為Froude數。
上式中l為船舶或明渠的特徵長度,對船舶取船長,對明渠取水深; v為特徵速度,g 為重力加速度,sqrt(x)表示x的平方根。 Fr 數表示慣性力與重力之比。
人物
英國船舶設計師弗勞德(W.Froude,1810-1879)對船舶阻力和搖擺的研究頗有貢獻,他提出了船模試驗的相似準則數--弗勞德數,建立了現代船模試驗技術的基礎。
套用
弗勞德數在慣性力和重力起重要作用的流動中,欲使兩幾何相似的物體(相似比為n=L/L,下標p代表實物,m代表模型)滿足動力相似條件,必須保證模型和實物的弗勞德數相等。在水動力學中,重力加速度取作常數,要使得弗勞德數恆定,則
。模型縮小n倍,流體流動速度就必須縮小sqrt(n)倍。
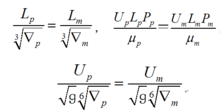
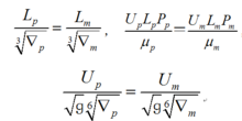
在模擬試驗中,也可以引入以容積排水量定義的弗勞德數Fr和物體“肥瘦係數”。它們分別定義為:
弗勞德數式中▽為容積排水量。
在許多用有粘性的實際流體(其動力粘性係數為μ)進行的水動力學實驗中,例如在水面上以速度v作定常直線運動的船舶,它受到的阻力R可寫成:
弗勞德數式中ρ為水的密度;S為船舶的橫截面積;Re為雷諾數。上式表明確定物體阻力時,Fr和Re都是重要參數。 因此,在模擬試驗時,為了實現動力相似,必須要求Ψ、Re、Fr數相等,Ψ 數相等意即模型和實物幾何相似。
弗勞德數由此可以看出,若模型和實物都處在同一種流體中,即μp/pp=μm/pm,當弗勞德數相等時,模型的尺寸縮小,它的速度也縮小;而當雷諾數相等時,模型尺寸縮小,它的速度則增大。所以滿足弗勞德數和雷諾數同時相等的條件是不可能的。因此,船舶阻力不能從模型試驗直接得到。但根據理論和實驗的分析可知,船舶阻力可分別由摩擦阻力和剩餘阻力兩部分確定。摩擦阻力是由粘性效應引起的,主要由雷諾數確定;而剩餘阻力與重力、船的尺度和形狀有關,必須由弗勞德數和肥瘦係數確定。
不同的弗勞德數還代表不同的運動狀態。例如,<1表示絕大部分船重由浮力平衡,即船舶處於排水航行狀態;1<3表示絕大部分船重由水動升力平衡,使它處於全滑行狀態。
Fr可以用來判斷流體捲入氣體的程度。當Fr 〉1.7時,流體就會卷氣,當數值在4~12之間時,流體就會大量卷氣。

