利息計算
建設期利息應按借款要求和條件計算。國內銀行借款按現行貸款計算,國外貸款利息按協定書或貸款意向書確定的利率按複利計算。為了簡化計算,在編制投資估算時通常假定借款均在每年的年中支用,借款第一年按半年計息,其餘各年份按全年計息。計算公式為: 各年應計利息=(年初借款本息累計+當年借款額/2)×年利率 。
當總貸款分年均衡發放時,建設期利息的計算可按當年借款在年中支用考慮,即當年貸款按半年計息,上年貸款按全年計息。
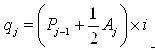
建設期利息計算公式如右圖所示,
式中:qj——建設期第j年應計利息; Pj-1——建設期第(j-1)年末貸款累計金額與利息累計金額之和; Aj——建設期第j年貸款金額; i——年利率。
複利計算
建設期利息複利計算公式一般為:建設期計利息=∑[(上一年年末借款本息累計+當年借款額/2)×年利率]。
該計算公式表明:建設項目的借款利息在建設期內的一個計息周期進行計算,但沒有在該周期進行償還,該借款利息的金額將進入建設期內的下—計息周期作為借款本金計算利息,即複利計算,以此類推,直至建設期結束。按照複利計算的原理,項目在建設期內的全部借款利息沒有償還,一直掛賬到建設期結束時或者到項目經營期中去償還。
單利計算
建設期利息單利計算公式一般為:建設期計利息=∑[(上一年年末借款本金累計+當年借款額/2)×年利率]。
該計算公式表明:建設項目的借款利息在建設期內的一個計息周期進行計算,並在該周期進行了償還,該借款利息的金額不再進入建設期內的下一計息周期作為借款本金計算利息,下一計息周期的計算利息的借款金額只有實際發生的借款本金額,即單利計算,以此類推,直至建設期結束。按照單利計算的原理,項目的建設期借款利息在建設期內應該或者已經償還。

