概念
在《民用建築熱工設計規範》、《夏熱冬冷地區居住建築節能設計標準》的相關條例中都明確指出,體形係數是指建築物的外表面積和外表面積所包的體積之比。
將其公式化為:
Tx=F/V
式中:
Tx——體形係數;
F——建築物的外表面積;
v——建築物外表面積所包的體積。
從基本概念可以看出體形係數的大小對建築能耗的影響非常顯著。體形係數越大,單位建築面積對應的外表面積越大,外圍護結構的傳熱損失越大,能耗就越多 。
建築體形係數是影響建築物耗熱量指標的重要因素之一, 是建築節能設計一個重要指標。
影響因素
(1)建築物設計尺寸的影響
對於普通民用建築而言,其主要形狀為長方體,而長方體的組成尺寸分別為長、寬、高。
體形係數隨著建築物長度的增加而不斷減小,但是其減少幅度逐漸下降。
體形係數隨著建築物寬度的增加而不斷減小,但是其減少幅度逐漸下降。
體形係數隨著建築物高度的增加而不斷減小,但是其減少幅度逐漸下降 。
在建築物總體積一定的情況下,選好適當的長寬比也是相當重要的。對於正南朝向而言,一般是長寬比越大得熱就越多。當偏角達到67度左右時,各種長寬比的建築得熱基本趨於一致,而當偏角為90度時,則長寬比越大,得熱越少。選好長寬比的前提是該建築物的朝向必須先確定下來,因為朝向不僅與設計理念有關,而且也和建築物日輻射得熱量有關。
(2)日輻射得熱量對體形係數的影響
圖1從外界對建築物能耗的影響來講,El輻射得熱量是一個重要因素。從節能的角度而言,合理的體形係數設計應該基於這一原理:使建築物能在夏季得熱少,冬季得熱多。
圖1是將同體積的立方體建築模型按不同的方式排列成各種體形和朝向,從日輻射得熱多少的角度來研究建築體形對節能的影響。由圖可知,立方體A是冬季日輻射得熱量最少的建築體形;D是夏季得熱最多的體形;E、C兩種體形的全年日輻射得熱量較為均衡;而長、寬、高比例較為適宜的B,在冬季得熱較多,在夏季則得熱最少。
由上可知,在建築物的節能設計方案中,假設建築物體積一定,那么必須綜合考慮建築物的長寬比、朝向和日輻射得熱量,來求出最佳的建築物設計尺寸,從而得到一個最佳的節能體形係數。當然,在建築物體形係數的設計中還必須綜合考慮到建築造型、平面布局和採光通風的要求,如果體形係數過小,它將制約建築師的創造性,造成建築造型呆板,平面布局困難,甚至影響建築功能。因此必須權衡利弊,兼顧不同類型的建築造型 。
對節能影響
建築體形係數反映單位建築空間的熱散失面積大小,對建築能耗有直接影響。建築室內熱濕環境形成的最主要原因主要是受各種外擾和內擾的影響,建築節能的關鍵在於圍護結構節能。20世紀80年代初,國家確立節能30%的建築節能標準中,圍護結構占20%;到1995年末,建設部又發布了居住建築節能50%的節能標準,其中圍護結構節能占30%。
提高建築結構設計在建築節能中的比例,降低採暖空調能耗是解決建築能耗日益增高的有效途徑建築體形的變化直接影響建築能耗的大小,節能設計標準中建築熱丁設計部分對建築體形係數有明確的規定:《民用建築節能設計標準(採暖居住建築部分)》(JG326—95)第4.1.2條規定,建築物體形係數宜控制在0.30及0.30以下,若體形係數大於0.30,則屋頂和外堵應加強保溫,傳熱係數應符合其標準表4.2.1限值的規定;《夏熱冬冷地區居住建築節能設計標準》(JGJ134—2001)第4.0.3條規定“,條式建築物的體形係數不應超過0.35,點式建築物的體形係數不應超過0.40;《公共建築節能設計標準》(GB50189—2005)第4.1.2條規定,嚴寒、寒冷地區建築的體形係數應小於或等於0.40。
提出體形係數要求的目的,是為了使特定體積的建築在冬季和夏季冷熱作用下,從面積因素考慮,合理選擇傳熱面積,使建築物的外圍護部分接受的冷、熱量最少,從而減少冬季的熱損失與夏季的冷損失。
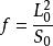
基於形狀因子f的節能分析
對於給定容積的建築,體形係數與建築物底面形狀、面積和建築高度有關,而當建築物的底面面積和建築高度確定好之後,不同的底面形狀影響體形係數的值。定義係數形狀因子f以描述不同的底面形狀特徵,當底面形狀確定以後,f的值也得到確定,可以說f僅與建築物底面的形狀有關。形狀因子與建築使用面積、建築高度等參數結合起來既是對體形係數完整的描述,又是對建築某一獨立局部如形狀、面積、高度等的描述。
所定義形狀因子為:
建築物體形係數L為建築物底面周長,S為建築物底面面積。
表1形狀因子值f越小,體形係數值越小。
由表1得,圓形底面形狀因子。f值最小,正方形次之,矩形相對較大。因而通過外圍護結構的熱量傳遞在上述條件下取決於形狀因子值f的大小、f值小的圓形底面,外包絡面積最小,在綜合熱作用下外圍護結構傳熱面積最小,能耗最小。正方形底面次之,矩形底面相對較差。且底面形狀長寬比越大的條式建築節能效果相對越差。因此,從節能角度考慮,超高層建築底面形狀採取圓形相對其他形狀更節能。

