簡介
在考慮到量子力學與狹義相對論為前提下, 康普頓波長被認為是測量粒子位置的基本限制。
康普頓波長
康普頓波長其大小取決於該粒子的質量。 現舉一例子說明這個,設用反射回來的光去量度粒子的位置──但要準確地量度位置需要波長短的光。波長短的光是由高能量光子所組成的。若這些光子的能量超過當擊中被量度位置的粒子時,其撞擊所產生的能量可能會足夠產生同類型的粒子。這使得粒子的原位置這個問題變得毫無意義。
此論點同時亦表明了康普頓波長是量子場論──可用於描述粒子的生成或湮滅──需要被重視的長度上限。
我們可以用以下方法將上述論點變得更精確一點。設要量度粒子的位置至一準確度△x。 則其位置及動量的不確定性關係式為
康普頓波長所以粒子動量的不確定性符合:
康普頓波長
康普頓波長
康普頓波長
康普頓波長使用相對性原理中的動量與能量,當大於時能量的不確定性比要大,會有足夠的能量生成出一個同類型的粒子。所以運用一點代數,可見存在一基礎上限
康普頓波長
康普頓波長所以至少在大約一倍大小以內,粒子位置的不確定性一定要比康普頓波長為大。
康普頓波長能夠與德布羅意波長作對比;後者大小視粒子的動量而定,它同時也決定量子力學中粒子的粒性及波性的分界線。
對費米子而言,其康普頓波長決定了相互作用的反應截面積。例如,對一從電子來的光子而言,其湯姆孫散射反應截面積等於
康普頓波長
康普頓波長
康普頓波長其中為精細結構常數,為電子的康普頓波長。而規範場玻色子而言,其康普頓波長決定了湯川相互作用的有效範圍:由於光子無質量,電磁的作用距離為無限。
康普頓波長
康普頓波長
康普頓波長
康普頓波長
康普頓波長
康普頓波長
康普頓波長
康普頓波長
康普頓波長
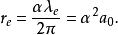
康普頓波長電子的康普頓波長一組三個互相關連的長度單位中的一個,另外兩個是玻爾半徑及經典電子半徑。康普頓波長是由電子質量,普朗克常數及光速構建的。而玻爾半徑則是由及電子電荷所構建。經典電子半徑就由及構建。這三種長度中的任何一種都能夠被寫成另外兩種長度及精細結構常數的倍數
康普頓波長
康普頓波長普朗克質量的特殊在於它跟及這類因數沒有關係,這個質量的康普頓波長相等於其史瓦西半徑。由此而得的特殊長度被稱為普朗克長度。從簡易的量綱分析可得:史瓦西半徑與質量成正比,而康普頓波長與質量成反比。
定義
粒子的 康普頓波長( Compton wavelength)λ,其關係式如下:
康普頓波長
康普頓波長
康普頓波長
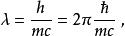
康普頓波長其中為普朗克常數, 為粒子的質量,為光速。
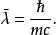
康普頓波長定義 約化康普頓波長為
康普頓波長根據CODATA2014的數值,電子的 康普頓波長是2.4263102367(11)×10 m。不同的粒子,有不同的 康普頓波長。
相關條目
•康普頓散射
•德布羅意假說

