提出
提出的背景
德布羅意是法國物理學家,原來學的是歷史,對科學也很有興趣。第一次世界大戰期間,在軍隊服役,從事無線電工作。平時愛讀科學著作,特別是彭加勒、洛侖茲和朗之萬的著作。後來對普朗克、愛因斯坦和玻爾的工作發生了興趣,乃轉而研究物理學。退伍後跟隨朗之萬攻讀物理學博士學位。他的兄長莫里斯·德布羅意是一位研究X射線的專家,路易斯曾隨莫里斯一道研究X射線,兩人經常討論有關的理論問題。莫里斯曾在1911年第一屆索爾威會議上擔任秘書,負責整理檔案。這次會議的主題是關於輻射和量子論。會議檔案對路易斯有很大啟發。莫里斯和另一位X射線專家W.布拉格聯繫密切。布拉格曾主張過X射線的粒子性。這個觀點對莫里斯很有影響,所以他經常跟弟弟討論波和粒子的關係。這些條件促使德布羅意深入思考波粒二象性的問題。
法國物理學家布里淵(M.Brillouin)在1919—1922年間發表過一系列論文,提出了一種能解釋玻爾定態軌道原子模型的理論。他構想原子核周圍的“以太”會因電子的運動激發一種波,這種波互相干涉,只有在電子軌道半徑適當時才能形成環繞原子核的駐波,因而軌道半徑是量子化的。這一見解被德布羅意吸收了,他把以太的概念去掉,把以太的波動性直接賦予電子本身,對原子理論進行深入探討。
假說的提出
1923年9月—10月間,德布羅意連續在《法國科學院通報》上發表了三篇有關波和量子的論文。第一篇題目是《輻射——波與量子》,提出實物粒子也有波粒二象性,認為與運動粒子相應的還有一正弦波,兩者總保持相同的位相。後來他把這種假想的非物質波稱為相波。他考慮一個靜質量為m0的運動粒子的相對論效應,把相應的內在能量m0c視為一種頻率為ν0的簡單周期性現象。他把相波概念套用到以閉合軌道繞核運動的電子,推出了玻爾量子化條件。在第三篇題為《量子氣體運動理論以及費馬原理》的論文中,他進一步提出,“只有滿足位相波諧振,才是穩定的軌道。”在第二年的博士論文中,他更明確地寫下了:“諧振條件是l=nλ,即電子軌道的周長是位相波波長的整數倍。”在第二篇題為《光學——光量子、衍射和干涉》的論文中,德布羅意提出如下構想:“在一定情形中,任一運動質點能夠被衍射。穿過一個相當小的開孔的電子群會表現出衍射現象。正是在這一方面,有可能尋得我們觀點的實驗驗證。”①
兩個注意點
在這裡要說明兩點: 第一點,德布羅意並沒有明確提出物質波這一概念,他只是用位相波或相波的概念,認為這是一種假想的非物質波。可是究竟是一種什麼波呢?在他的博士論文結尾處,他特別聲明:“我特意將相波和周期現象說得比較含糊,就象光量子的定義一樣,可以說只是一種解釋,因此最好將這一理論看成是物理內容尚未說清楚的一種表達方式,而不能看成是最後定論的學說。”物質波是在薛丁格方程建立以後,在詮釋波函式的物理意義時才由薛丁格提出的。 第二點,德布羅意並沒有明確提出波長λ和動量p之間的關係式:λ=h/p(h即Planck常數),只是後來人們發覺這一關係在他的論文中已經隱含了,就把這一關係稱為德布羅意公式。
當時的反響
德布羅意的博士論文得到了答辯委員會的高度評價,認為很有獨創精神,但是人們總認為他的想法過於玄妙,沒有認真地加以對待。例如:在答辯會上,有人提問有什麼可以驗證這一新的觀念。德布羅意答道:“通過電子在晶體上的衍射實驗,應當有可能觀察到這種假定的波動的效應。”在他兄長的實驗室中有一位實驗物理學家道威利爾(Dauvillier)曾試圖用陰極射線管做這樣的實驗,試了一試,沒有成功,就放棄了。後來分析,可能是電子的速度不夠大,當作靶子的雲母晶體吸收了空中游離的電荷,如果實驗者認真做下去,肯定會做出結果來的。
德布羅意的論文發表後,當時並沒有多大反應。後來引起人們注意是由於愛因斯坦的支持。朗之萬曾將德布羅意的論文寄了一份給愛因斯坦,愛因斯坦看到後非常高興。他沒有想到,自己創立的有關光的波粒二象性觀念,在德布羅意手裡發展成如此豐富的內容,竟擴展到了運動粒子。當時愛因斯坦正在撰寫有關量子統計的論文,於是就在其中加了一段介紹德布羅意工作的內容。他寫道:“一個物質粒子或物質粒子系可以怎樣用一個波場相對應,德布羅意先生已在一篇很值得注意的論文中指出了。”
方程
物理學中, 物質波(即 德布羅意波)系指所有物質的波(見波粒二象性)。德布羅意說明了波長和動量成反比;頻率和總能成正比之關係,是路易·德布羅意於1923年在他的博士論文提出的。
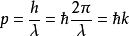
第一德布羅意方程指出,粒子波長λ(亦稱“德布羅意波長”)和動量p的關係:(下式中普朗克常數h、粒子靜質量m、粒子速度v、洛倫茲因子γ和真空光速c)
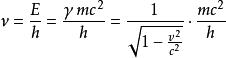
德布羅意假說第二德布羅意方程指出頻率ν和總能E的關係:
德布羅意假說這兩個式子通常寫作
德布羅意假說
德布羅意假說實驗證明
1927年,柯林頓·戴維森與雷斯特·革末在貝爾實驗室將電子射向鎳結晶 ,發現其繞射圖譜和布拉格定律(這原是用於X射線的)預測的一樣。在德布羅意假說被接受之前,科學界認為繞射是只會在波發現的性質。 這是量子力學的重要結果。
1922年,康普頓證明了光具粒子的性質,而以上實驗就證明了粒子有波的性質,肯定了波粒二象性的學說。物理學家可以使用德布羅意波長,並用波動方程來解釋物質的現象。
後來基本粒子也被證實有波的性質。
1999年,富勒烯被測出有波的性質。
大型物件的波長
理論上,不只亞原子粒子有波的性質。
例如:投球手以40米每秒投出一個質量為0.15公斤的棒球。這個球的波長為
德布羅意假說這比原子核的直徑更小,直趨普朗克長度10。因此,現時的技術是無法觀察出其波動性質的。
相關條目
•玻爾模型
•群速度
•康普頓波長

