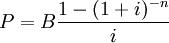
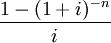
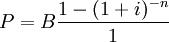
年金的現值,即年金現值,是指將在一定時期內按相同時間間隔在每期期末收入或支付的相等金額折算到第一期初的現值之和。
年金現值的計算
年金的現值推導過程:
年金的現值將①式乘以(1+i),則:
年金的現值②-①,則:
(1 + i)P − P = B − B(1 + i) − n
P(1 + i − 1) = B[1 − (1 + i) − n]
∴
年金的現值
− n − n 年金的現值
年金的現值,即年金現值,是指將在一定時期內按相同時間間隔在每期期末收入或支付的相等金額折算到第一期初的現值之和。
年金的現值
年金的現值
年金的現值
年金的現值年金現值就是在已知等額收付款金額未來本利(Future Value)、利率(interest)(這裡我們默認為年利率)和計息期數n時,考慮貨幣時間價值,...
分類 計算 係數表 作用年金現值係數,就是按利率每期收付一元錢折成的價值。
概念 計算公式 這是終值的算法預付年金是指在一定時期內,每期期初等額的系列收付款項。
普通年金現值是一定時期內按相同時間間隔在每期期末收付的相等金額折算到第一期初的現值之和。即現金流量發生在每期期末,現值發生第一筆現金流量那一期的期初計算。
基本概念 計算公式現值計量是指資產按照預計從其持續使用和最終處置中所產生的未來淨現金流入量的折現金額計量。
目的 方法 影響因素 套用 屬性的套用現值,也稱折現值,是指把未來現金流量折算為基準時點的價值,用以反映投資的內在價值。使用折現率將未來現金流量折算為現值的過程,稱為“折現”。 折現率,是指...
簡介 概念 現值公式 範圍 目標年金,國外叫annuity,是定期或不定期的時間內一系列的現金流入或流出。年金額是指每次發生收支的金額。年金期間是指相鄰兩次年金額間隔時間,年金時期是指...
簡介 作用 風險 分類 建立淨現值指未來資金(現金)流入(收入)現值與未來資金(現金)流出(支出)現值的差額。項目評估中淨現值法的基本指標。未來的資金流入與資金流出均按預計貼現率各...
概念解釋 計算過程 基本原理 指標分析 指標特點