定義
平面的一個點變換,如果保持點之間的距離不變。則稱它為正交變換(或保距變換) 。
平面正交變換的性質
從定義可知正交變換具有下述性質:
性質1 正交變換的乘積仍是正交變換。
性質2 恆等變換是正交變換。
性質3 (1) 正交變換把共線的三點變成共線的三點,且保持它們的順序不變。
(2) 正交變換把不共線的三點變成不共線的三點 。
證: (1)設A,B,C是共線的三點,且B位於A,C之間,正交變換σ把A,B,C分別變成A',B',C',則|A'B'|=|AB|,|A'C'|=|AC|,|B'C'|=|BC|,由假設,|AB|+|BC|=|AC|,則|A'B’|+|B'C'|=|A'C'|,這表明A',B',C'三點共線,且B'在A'C'之間。
(2)設D,E,F是不共線的三點,則|DE|+|EF|>|DF|,設正交變換σ把D,E,F分別變成D',E',F',則|D’E’|十|E'F'|>|D'F'|,這表明D',E',F'三點不共線。
由性質3即得
性質4 正交變換把直線變成直線,把線段變成線段。
性質5 正交變換是可逆的,且逆變換仍是正交變換。
平面正交變換
平面正交變換
平面正交變換
平面正交變換證: 設σ是正交變換,A,B是平面上不同的兩個點,則,即σ把不同的點A,B變成不同的點。這證明σ是單射,還可以證明σ是滿射,因而σ是雙射,把σ的逆變換記為,易見也是正交變換。
性質6 正交變換把平行直線變成平行直線。
平面正交變換
平面正交變換
平面正交變換
平面正交變換
平面正交變換
平面正交變換
平面正交變換
平面正交變換
平面正交變換
平面正交變換
平面正交變換證:設σ是正交變換,設∥,由性質4,σ把直線變成直線,如果與交於M',則,這與∥矛盾,所以∥。
性質7 正交變換保持向量長度與夾角。
平面正交變換
平面正交變換證: 設向量,定義,易見性質7成立。
性質8 正交變換把平面直角坐標系變成平面直角坐標系。
平面正交變換
平面正交變換
平面正交變換證: 設為平面直角坐標系,σ為正交變換,記,則為平面直角坐標系(由性質7)。
平面正交變換
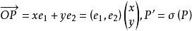
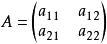
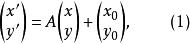
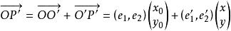
平面正交變換定理1 設正交變換σ把直角標架變成直角標架,其中,
平面正交變換
平面正交變換
平面正交變換即,則σ在直角坐標系中的表示是
平面正交變換
平面正交變換其中是正交矩陣。
平面正交變換
平面正交變換證: 設,則,設
平面正交變換由
平面正交變換
平面正交變換結合(2)與(3),就得到(1)。
註:(1)表示平面上的平移,旋轉反射或它們的複合 。

