基本介紹
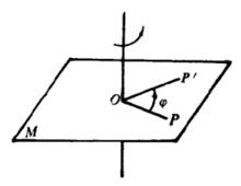
一個空間到其自身的變換,如果它滿足下述條件,就叫作繞軸a,旋轉角為φ的空間旋轉。
(1)對於空間的任一點P及其對應點P',同在垂直於直線a的平面M上;
(2)兩點P,P'到直線a的距離相等,即OP=OP'(如圖所示)。
(3)由OP到OP'的旋轉方向規定為,當φ>0,就表示右手擰螺旋往軸的正向前進時的方向;如果φ<0,就表示用右手擰螺旋往軸的逆向前進時的方向,這裡∠POP'=φ。
在繞軸旋轉角φ的空間旋轉變換下,平面變成平面、直線變直線,平行的平面或平行的直線其平行性不變。
空間旋轉變換
空間旋轉變換一個圖形F,如果繞某個軸旋轉一定角φ後仍變為其自身,這裡 (m是自然數, ),且滿足上述條件的最小的旋轉角,那么這個圖形F叫做n次旋轉自對稱圖形 。
空間旋轉變換空間旋轉變換是一種特殊的幾何變換,指空間的所有點繞同一直線旋轉同一角度的變換。旋轉變換簡稱旋轉,是歐氏幾何中的一種重要變換,即在歐氏平面上(歐氏空間中),讓每一點P繞一固定點(固定軸線)旋轉一個定角,變成另一點P′,如此產生的變換稱為平面上(空間中)的旋轉變換,此固定點(固定直線)稱為旋轉中心(旋轉軸),該定角稱為旋轉角。旋轉是第一種正交變換,在平面直角坐標系中,若旋轉中心為點M(x,y),點P(x,y)繞M旋轉定角θ後變成點P′(x′,y′),則平面上旋轉變換的代數表達式為
空間旋轉變換旋轉變換的逆變換也是旋轉變換,兩個繞同一點(同一軸線)的旋轉變換的乘積仍是旋轉變換,所有繞同一點(同一軸線)的旋轉變換的全體構成一個群,稱為旋轉群,在旋轉變換下,兩點間的距離與兩直線的交角均保持不變,旋轉變換的概念可以推廣到n維歐氏空間。繞O(0,0,…,0)點旋轉的代數表達式為
空間旋轉變換或用矩陣表示為:(x′)=(a)·(x),其中a為常數,且(x′),(x)均為n×1矩陣,矩陣(a)是行列式等於1的正交矩陣 。
空間旋轉變換定理 對於空間兩次平面反射 的積,
空間旋轉變換
空間旋轉變換(1)如果兩反射面 與 重合,則為恆等變換;
空間旋轉變換(2)如果兩反射面 ,則為平移變換;
(3)如果兩反射面相交,則為旋轉變換 。
相關介紹
如果一個圖形F在契約變換f下對應於圖形F',那么稱圖形F與F'契約。
我們不難發現,契約變換下,兩個對應圖形F與F'的邊界方向(順時針方向或逆時針方向)或者是一致的,或者是反向的。因此,按照對應圖形的邊界方向可以將契約變換分為兩類:將使得對應圖形F與F'的邊界方向相同的契約變換稱為第一類契約變換(如圖1),而將使得兩個對應圖形F與F’邊界方向相反的契約變換稱為第二類契約變換(如圖2)。因而,我們將在第一類契約變換下的對應圖形F與F‘稱為 真正契約,而把第二類契約變換下的對應圖形F與F'稱為 鏡像契約 。
圖1
圖2利用上述分類方式,我們容易得到,平移變換、旋轉變換(即兩個反射變換的乘積)是第一類契約變換,而反射變換是第二類契約變換。
既然平移變換、旋轉變換是兩個反射變換的乘積變換,那么(自然的思考),契約變換是否也是幾個反射變換的乘積變換呢?
我們猜測並可以證明:
性質1任一契約變換至多可以表示為三個反射變換的乘積。
圖3證明設契約變換ω由三對不共線的對應點A與A',B與B',C與C'所確定(圖3)。
空間旋轉變換
空間旋轉變換
空間旋轉變換作AA’的垂直平分線 ,那么,在以 為反射軸的反射變換下,△ABC變為△A'B₁C₁(若點A與A'重合,則沒有必要施行 )。此時,AB=A'B₁=A'B'。
空間旋轉變換
空間旋轉變換
空間旋轉變換
空間旋轉變換
空間旋轉變換再作線段B₁B'的垂直平分線 ,則點A'必在 上,以 為反射軸的反射變換 將△A'B₁C₁變為△A'B'C₂(如果B₁與B'重合,也沒有必要施行變換 。此時A'C'=AC=A'C₁=A'C₂,B'C'=BC=B₁C₁=B'C₂。
空間旋轉變換
空間旋轉變換
空間旋轉變換
空間旋轉變換最後作線段C'C₂的垂直平分線 ,點A'、B'必在直線 上。在反射變換 的作用下,△A'B'C₂變為△A'B'C'(若點C'與C₂重合,則不必施行變換 ,於是,
空間旋轉變換
空間旋轉變換即
綜上所述,對於第一類契約變換,總可以表示為兩個反射變換的乘積;對於第二類契約變換,總可以表示為一個反射變換或三個反射變換的乘積,於是得下表 :
圖4
