公式
平移公式
平移公式
平移公式
平移公式
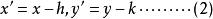
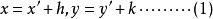
平移公式下面不加證明地給出定理。當把原點 移到 時,平面上任一點 的舊坐標 及其新坐標 之間有下列關係:
平移公式
平移公式其中(1)以新坐標表示舊坐標,(2)以舊坐標表示新坐標,叫做“平移公式”或“移軸公式”。
套用
•已知一點對舊坐標系的坐標,從公式(2)就可以求到它對新坐標系的坐標;反之,已知一點對新坐標系的坐標,從公式(1)就可以求到它對舊坐標系的坐標。
•在一個方程
平移公式變換後,便得到新方程
平移公式顯然這兩個方程是表示一個相同的曲線。公式(1)或(2)說明了在兩個方程中變數間的關係。
