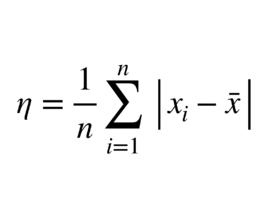
定義
平均誤差離差
絕對值的平均值,即
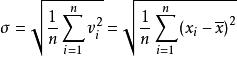
平均誤差標準誤差
對於等精度測量來說,還有一種更好的表示誤差的方法,就是標準誤差。標準誤差定義為各測量值誤差的平方和的平均值的平方根,故又稱為均方根誤差。
平均誤差觀測中的某一次測量結果的標準誤差σ,其計算公式為。
需要注意的是,標準誤差不是測量值的實際誤差,也不是誤差範圍,它只是對一組測量數據可靠性的估計。標準誤差小,測量的可靠性大一些,反之,測量就不大可靠。進一步的分析表明,根據偶然誤差的高斯理論,當一組測量值的標準誤差為σ時,則其中的任何一個測量值的誤差ε有68.3%的可能性是在(-σ,+σ)區間內。
世界上多數國家的物理實驗和正式的科學實驗報告都是用標準誤差評價數據的,稍好一些的計算器都有計算標準誤差的功能,因此,了解標準誤差是必要的。

