基本介紹
有限總體修正係數
有限總體修正係數
有限總體修正係數
有限總體修正係數
有限總體修正係數
有限總體修正係數
有限總體修正係數
有限總體修正係數
有限總體修正係數
有限總體修正係數
有限總體修正係數
有限總體修正係數
有限總體修正係數
有限總體修正係數
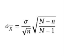
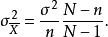
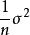
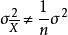
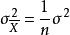
有限總體修正係數設是無限總體X的隨機樣本,樣本平均數為,若已知總體X的數學期望,方差,容易推出的抽樣分布的方差是,這個公式只適用於無限總體,或者總體雖是有限但抽樣是有放回的情形。此時,樣本的n個個體被看作n個獨立同分布的隨機變數,因此有式的成立。但是,在實際中,經常遇到的是對有限總體採用無放回抽樣,此時抽樣所構成的樣本就不能假定為相互獨立的隨機變數。因此,樣本方差的公式就不再適用,此時,而是應小於。這是因為當總體容量為N時,在樣本容量n→N時趨向於0,而只有在時,才趨向於0 。
有限總體修正係數因此,當總體為有限時,的方差要乘上一個修正係數
有限總體修正係數即
有限總體修正係數
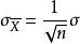
有限總體修正係數同理的標準差
有限總體修正係數
有限總體修正係數
有限總體修正係數由於當時,修正係數接近於1。故一般情況當n≤0.05N時,即樣本容量不大於總體容量的5%時,可以不用有限總體的修正係數 。
使用條件及說明
由於n永遠是大於1的,所以有限總體修正係數永遠小於1,因此,有限總體的抽樣平均誤差比無限總體的抽樣平均誤差要小。對無限總體來說,樣本在總體中所占的比重相對來說是極微小的,所以在無限總體中抽取的樣本代表性要差一些,其抽樣誤差大於有限總體的抽樣誤差,也正好說明了這個問題。
有限總體修正係數
有限總體修正係數當有限總體的N相對於樣本容量n很大時,有限總體修正係數將接近於1,這時有限總體的抽樣平均誤差接近於無限總體的抽樣平均誤差。為了簡化計算過程,在這種情況下,可以直接採用公式,而省略公式。另外,n/N的比值稱為抽樣比例。在統計學上,通常認為抽樣比例n/N<0.05時,就可以省略有限總體修正係數。當n/N≥0.05時,則認為總體相對於樣本來說,並不很大,或稱為有限總體。這時一般要使用有限總體修正係數。
有限總體修正係數
有限總體修正係數
有限總體修正係數另外,公式除了具有計算簡便的優點以外,它還有一個優點,就是式中的總體標準差是個常量,抽樣平均誤差的大小僅僅取決於抽樣單位數目,與總體容量N無關 。

