幅頻特性
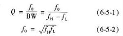
特性理想帶阻濾波器在阻帶內的增益為零。帶阻濾波器的中心頻率f0和抑制頻寬BW之間的關係為
特性式中,Q為品質因數,fH為帶阻濾波器的上限頻率,fL為帶阻濾波器的下限頻率,其中fH>fL。頻寬BW越窄,品質因數Q越高。
帶阻濾波器(bandstop filters,簡稱BSF)是指能通過大多數頻率分量、但將某些範圍的頻率分量衰減到極低水平的濾波器,與帶通濾波器的概念相對。其中點阻濾波器(notch filter)是一種特殊的帶阻濾波器,它的阻帶範圍極小,有著很高的Q值(Q Factor)。
特性理想帶阻濾波器在阻帶內的增益為零。帶阻濾波器的中心頻率f0和抑制頻寬BW之間的關係為
特性式中,Q為品質因數,fH為帶阻濾波器的上限頻率,fL為帶阻濾波器的下限頻率,其中fH>fL。頻寬BW越窄,品質因數Q越高。
概念 帶阻濾波器是指能通過大多數頻率分量、但將某些範圍的頻率分量衰減到...(notch filter)是一種特殊的帶阻濾波器,它的阻帶範圍極小,有著很高...,再將兩個電路的輸出電壓求和,就可以得到帶阻濾波器,如下圖所示。其中...
概念 有源帶阻濾波電路 幅頻特性 帶阻濾波器電路圖諧振的頻率。通帶與帶阻濾波器都是m常數濾波器,m為截止頻率與被衰減的其他...帶阻濾波器四種。 低通濾波器:它允許信號中的低頻或直流分量通過,抑制高頻分量...、干擾和噪聲。 帶阻濾波器:它抑制一定頻段內的信號,允許該頻段以外的信號通過...
主要作用 類型 分類 設計 選取分支線帶通濾波器四、耦合微帶線帶通濾波器5-7微帶線帶阻濾波器一、含K變換器的微波帶阻濾波器二、含J變換器的微波帶阻濾波器三、微帶電容分支線帶阻濾波器四、耦合微帶線帶阻濾波器五、關於微波帶阻濾波器的嚴格設計5-8元件...
內容介紹 作品目錄簡介一般雙工器由六個帶阻濾波器(陷波器)組成 ,各諧振於發射和接收頻率...,即是兩個等效帶阻濾波器的阻帶頻寬,而不是取決於通帶頻寬。從其頻率回響曲線上...,450MHz時為5MHz。隔離度雙工器的隔離度是指兩個等效帶阻濾波器...
簡介 選用 工作頻率 隔離度 插入損耗帶阻濾波器等。用來說明濾波器性能的技術指標主要有:中心頻率f0,即...網路綜合法設計濾波器的基礎,各種低通、高通、帶通、帶阻濾波器大都是根據此...帶阻濾波器四種。 低通濾波器:它允許信號中的低頻或直流分量通過,抑制...
濾波器概述 濾波器類型 濾波器的階數 濾波器選取 濾波器的分類及帶阻濾波器的設計,LC濾波器的設計,數字濾波器設計,有限衝激回響濾波器設計... 5.2 有源帶通濾波器 參考文獻 第6章 帶阻濾波器 6.1 LC帶阻濾波器 6.2 有源帶阻濾波器 參考文獻 第7章 時域網路 7.1 全通...
內容簡介 圖書目錄,人聲消除的過程應修改如下: 原始歌曲 音軌1 帶阻濾波器(Band...) 其中聲道混合的設定仍然與上面一樣,帶通濾波器和帶阻濾波器的兩個頻率仍然相同,即帶通濾波器的截止頻率(頻率1)和帶阻濾波器的通過頻率(頻率1)設...
原理 方法抗干擾技術干擾問題是機電一體化系統設計和使用過程中必須考慮的重要問題。在機電一體化系統的工作環境中,存在大量的電磁信號,如電網的...
抗干擾技術 抗干擾問題