概念
帶阻濾波器是指能通過大多數頻率分量、但將某些範圍的頻率分量衰減到極低水平的濾波器,與帶通濾波器
.的概念相對。其中點阻濾波器(notchfilter)是一種特殊的帶阻濾波器,它的阻帶範圍極小,有著很高的Q值(QFactor)。將輸入電壓同時作用於低通濾波器和高通濾波器,再將兩個電路的輸出電壓求和,就可以得到帶阻濾波器,如下圖所示。其中低通濾波器的截止頻率應小於高通濾波器的截止頻率,因此,電路的阻帶為(-)。
有源帶阻濾波電路
實用電路常利用無源低通濾波器和高通濾波器並聯構成無源帶阻濾波電路,然後接同相比例運算電路,從而得到有源帶阻濾波電路
幅頻特性
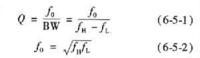
理想帶阻濾波器在阻帶內的增益為零。帶阻濾波器的中心頻率f0和抑制頻寬BW之間的關係為
特性特性式中,Q為品質因數,fH為帶阻濾波器的上限頻率,fL為帶阻濾波器的下限頻率,其中fH>fL。頻寬BW越窄,品質因數Q越高。
帶阻濾波電路的幅頻特性圖

帶阻濾波器電路圖

該電路中R6與R7的比值將決定低頻率下的放大係數Vuo,如Vu=1,則R7實際上可以取消。電路中各元件參數選取原理如上圖。

