簡介
西亞美索不達米亞地區(即底格里斯河與幼發拉底河流域)是人類早期文明發祥地之一。
歷史發展
巴比倫數學大約在公元前1800~前1600年間,巴比倫人已使用較系統的以60為基數的數系(包括60進制小數)。對小於60的整數,使用兩種記號表示,如
巴比倫數學;
對大於60的數,用位置制記數法,如
巴比倫數學由於沒有表示零的記號,這種記數法是不完善的。
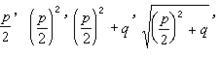
巴比倫人的代數知識相當豐富,主要用文字表達,偶爾使用記號表示未知量。有一道最古老的問題是:已知正方形面積與邊長的差為14;30〔60進位制數,即14(60)+30=870〕,求正方形邊長。 這相當於求解方程 x2- p x= q(此時 p=1, q=870)。巴比倫人的解法是依次計算
巴比倫數學
巴比倫數學得到解為30。這與現代用公式解這類方程的過程一致(但他們尚無負數概念,解方程只求正根)。在公元前1600年前的一塊泥板上,記錄了許多組畢達哥拉斯三元數組(即勾股數組,(見彩圖)。據考證,其求法與希臘人丟番圖的方法相同,即取定兩正整數 u、υ,令
巴比倫數學b=2 uυ
巴比倫數學
巴比倫數學則必。
巴比倫人還討論了某些三次方程和可化為二次方程的四次方程。
巴比倫的幾何屬於實用性質的幾何,多採用代數方法求解。他們有三角形相似及對應邊成比例的知識。用公式
巴比倫數學(с為圓的周長)求圓面積,相當於取π=3。在一塊約公元前1600年的泥板上,記有
巴比倫數學的近似值 1+24/60+51/602+10/603=1.4142155。
巴比倫人已掌握計算簡單平面圖形面積和簡單立體體積的方法,如用公式max 求高為 h的平截頭方錐(下底面積α^2,上底面積b^2)的體積。巴比倫人在公元前 3世紀已較頻繁地用數學方法記載和研究天文現象,如記錄和推算月球與行星的運動,他們將圓周分為360度的做法一直沿用至今。

