定義
巴尼斯G函式是超級階乘函式在複數上的擴展。
它與Γ函式、K函式以及格萊舍常數(Glaisher constant)有關。
巴尼斯G函式以數學家歐尼斯特·巴尼斯(Ernest William Barnes)的名字命名。
巴尼斯G函式可以通用魏爾施特拉斯分解定理的形式定義為 :
巴尼斯G函式其中,γ表示歐拉-馬歇羅尼常數。
差分方程、函式方程與特殊值
巴尼斯G函式滿足差分方程
巴尼斯G函式特殊地,G(1)=1。
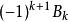
從此方程可推出G取整數自變數時有:
巴尼斯G函式因此,
巴尼斯G函式
巴尼斯G函式
巴尼斯G函式其中, 表示Γ函式, 表示K函式。
巴尼斯G函式另外,在滿足條件 時,差分方程唯一確定一個G函式。.
由G函式的差分方程和Γ函式的函式方程可以得到(由Hermann Kinkelin提出):
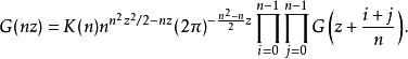
巴尼斯G函式乘法公式
與Γ函式一樣,G函式也有其乘法公式:
巴尼斯G函式
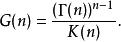
巴尼斯G函式其中K是一個常數,定義為:
巴尼斯G函式
巴尼斯G函式其中 表示黎曼ζ函式的導函式, A則表示為格萊舍常數。
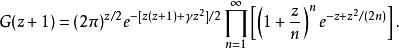
巴尼斯G函式可漸近展開為(由巴尼斯提出):
巴尼斯G函式
巴尼斯G函式
巴尼斯G函式
巴尼斯G函式其中 為伯努利數,A 為格萊舍常數。(需要注意的是,在巴尼斯的時代,伯努利數習慣寫成。)
