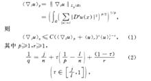
尼倫伯格不等式尼倫伯格不等式(Nirenberg inequality)一種形式的索伯列夫空間內插不等式.設,f2CR”是一個具有限錐性質的n維有界區域,記
除非1<p<+}且L- j-n/p是非負整數,當1<p<+二且L- j-n/p為非負整數時(1)對:E C>/L,
1〕成立.
尼倫伯格不等式尼倫伯格不等式(Nirenberg inequality)一種形式的索伯列夫空間內插不等式.設,f2CR”是一個具有限錐性質的n維有界區域,記
除非1<p<+}且L- j-n/p是非負整數,當1<p<+二且L- j-n/p為非負整數時(1)對:E C>/L,
1〕成立.
藍柏格定理:為員工製造必要的危機感。壓力與動力是一對矛盾,並不是所有的壓力都能轉化成動力。壓力變成動力,需要一個轉化的條件,那就是壓力的承受者有承受壓力...
基本信息 定義 簡介 經典案例 管理啟示古格列爾莫•馬可尼(Guglielmo Marconi),與此同時俄國...
《上帝擲骰子嗎》 序 第一章 黃金時代 第二章 烏雲 第三章 火流星“若是你在一年中不曾有過失敗的記載,你就未曾勇於嘗試各種應該把握的機會。”這就是“比倫定律”,它由美國考皮爾公司前總裁F·比倫提出 。萬象世界,成敗相依...
定義介紹 解析 啟示 運用 案例謝爾蓋·布林夫婦,馬克·扎克伯格夫婦等知名實業家出資設立科學突破獎... Mathematical Society),施普林格出版集團(SPRINGER)旗下的《數學...)。2004年:麥可·阿蒂亞(愛丁堡大學)與艾沙道爾·辛格(麻省理工...
數學研究 數學獎 國外著名數學家 華人數學家 部分數學家簡介天文學家,出生於德國布倫茲維克的一個貧苦家庭。父親格爾恰爾德·迪德里赫先後...·米爾納,蘋果公司董事長亞瑟·萊文森,以及謝爾蓋·布林夫婦,馬克·扎克伯格...、拉格朗日、拉普拉斯、費馬、柯西、泊松、嘉當、伽羅瓦、傅立葉美國Lars...
簡介 中國名人 外國名人 名人簡介 工作-尼倫伯格不等式 由 BMO空間的定義容易驗證:如果存在兩正常數A和...和尼倫伯格指出上述不等式本質上可以用來刻畫BMO空間的特徵。這就是存在著... ƒ.約翰和L.尼倫伯格在研究橢圓型偏微分方程的解時所引進的一類函式空間。 它...
BMO 空間 正文 配圖 相關連線0~915定理6714(黑洞數)定理A阿貝爾-魯菲尼定理阿蒂亞-辛格...弗羅貝尼烏斯定理費馬小定理凡·奧貝爾定理芬斯勒-哈德維格爾定理反函式定理...定理角平分線定理K柯西定理卡爾丹公式柯西不等式克萊尼不動點定理康托爾定理柯...
,收益最大的戰略性投資 ——著名的企業管理學教授沃倫·貝尼斯 7、千方百計...受到獎賞 ——瑞士軍事理論家菲米尼 43、抓住時機並快速決策是現代企業...凝聚力的公司比靠畏懼維繫的公司要穩固得多 ——美國西南航空公司總裁赫伯·凱萊...
內容簡介 基本信息 主要內容清末,金壇有影響的詩人、學者、著述家、政治家有百人以上,其中佼佼者有戴叔倫...,景觀繁花燦爛,美麗壯觀。樹姿剛柔相濟,優美動人;樹格高雅出眾、寓意深邃...
基本概況 自然地理 歷史沿革 行政區劃 經濟概況