定義
導出分數就是在原始分數轉換的基礎上,按照一定的規則,經過統計處理後獲得的具有一定參考點和單位,且可以相互比較的分數量表或符號系統。這種按某種規則將原始分數轉化為導出分數的過程稱為分數的轉換。
常用的導出分數有百分等級分數、標準分數和T分數等 。
百分等級分數
百分等級分數概念
百分等級分數是套用最廣的導出分數。一個原始分數的百分等級是指在一個群體的測驗分數中,得分低於這個分數的人數的百分比。也就是說,如果將某一被試群體分為一個白個等級,則每位被試所占的等級數就是百分等級。例如,某一被試在一項測驗中得分82分,經過換算,百分等級分數為75,就表示參加該項測驗的人的得分低於82分的占全體被試的75%,並說明超過他的成績82分的人僅有25%,我們通常P用來表示百分等級。百分等級取值越大,說明成績越優秀 。
百分等級分數計算
百分等級的計算關鍵在於確定在常模團體中分數低於某一特別分數的人數比例,分兩種情況:
1、未分組資料的百分等級計算,公式為:
導出分數其中P是原始分數排列順序數,N是指總人數(樣本的總人數)。例如小東在50名同學中語文成績是80分,排列第9名,則其百分等級為:
導出分數百分等級為83即指,在100名被試中,語文成績低於小東的80分的有83人
2、分組資料的百分等級求法,雖然計算方法不同,但其百分等級的意義與未分組資料一樣。
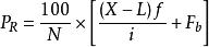
另一種是分組資料的百分等級計算,公式為:
導出分數P為百分等級;X為給定的原始分數;f為該分數所在組的頻數;F為該分數所在組的精確下限;
Fb為X所在組以下各組次數的和;N為總次數;i為組距 。
百分等級的優缺點·
優點
1:容易計算,容易解釋,甚至外行人也能理解
2:對於各種被試和各種測驗普遍適用
缺點
1:缺少相等單位屬於順序量表
2:測驗分數的分布通常呈正態曲線,中間密集兩端分散而百分等級的分布呈長方形,因此接近中數或分配中間的原始分數的差異在轉換成百分等級時往往被誇大而接近分數兩端的原始分數差異轉換成百分等級後則被大大縮小 。
標準分數
標準分數概念
標準分數也叫z分數,是一種具有相等單位的量數。它是將原始分數與團體的平均數之差除以標準差所得的商數,是以標準差為單位度量原始分數離開其平均數的分數之上多少個標準差,或是在平均數之下多少個標準差。它是一個抽象值,不受原始測量單位的影響,並可接受進一步的統計處理 。
標準分數計算
用公式表示為:z=(x-μ)/σ
其中z為標準分數;x為某一具體分數,μ為平均數,σ為標準差。
標準分數的特點
由z分數組成的分布有兩個特點:一是z分數的平均等於0;二是其標準差等於1。當一組數據為常態分配或近似常態分配時,相當於平均數的點的標準分數為0,在平均數以上各點的標準分數為正值,在平均數以下的各點的標準分數為負值。
標準分數是一種不受原始測量單位影響的數值。其作用除了能夠表明原數據在其分布中的位置外,還能對未來不能直接比較的各種不同單位的數據進行比較。如比較各個學生的成績在班級成績中的位置或比較某個學生在兩種或多種測驗中所得分數的優劣。
T分數
T分數是一種標準分常模,平均數為50,標準差為10的分數。即這一詞最早由麥柯爾於1939年提出,是為了紀念推孟和桑代克對智力測驗,尤其是提出智商這一概念所作出的巨大貢獻。
T分數的計算:T=10Z+50
T為T分數,Z為標準分數 。
標準九分數
標準九分是常態化標準分數的一種,主要是利用常態分配的概念,將常態分配的曲線分為九個部份。標準九分的平均值為 5,標準差為 2,單位為半個標準差,除了 1 分及 9 分之外,各分數的範圍也是半個標準差 。
標準九分及常態分配的關係
| 標準九分 | Z-分數 | 百分等級 | 占整體比例 |
| 1 | 小於 -1.75 | 2 | 4% |
| 2 | -1.75 ~ -1.25 | 8 | 7% |
| 3 | -1.25 ~ -0.75 | 17 | 12% |
| 4 | -0.75 ~ -0.25 | 32 | 17% |
| 5 | -0.25 ~ 0.25 | 50 | 20% |
| 6 | 0.25 ~ 0.75 | 68 | 17% |
| 7 | 0.75 ~ 1.25 | 83 | 12% |
| 8 | 1.25 ~ 1.75 | 92 | 7% |
| 9 | 大於 1.75 | 98 | 4% |
