定義
對稱核線性積分運算元
對稱核線性積分運算元
對稱核線性積分運算元
對稱核線性積分運算元對稱核線性積分運算元是具有對稱核的線性積分運算元,如果 滿足關係: ,則 稱為 對稱核,由 確定的線性積分運算元
對稱核線性積分運算元稱為 對稱核的線性積分運算元,又稱為 具有埃爾米特核的線性積分運算元。
特徵值與特徵函式
對稱核線性積分運算元
對稱核線性積分運算元
對稱核線性積分運算元
對稱核線性積分運算元
對稱核線性積分運算元
對稱核線性積分運算元
對稱核線性積分運算元
對稱核線性積分運算元
對稱核線性積分運算元
對稱核線性積分運算元
對稱核線性積分運算元對稱核線性積分運算元的特徵值(characteristicvalue of linear integral operator with symmetrickernel)是矩陣特徵值概念的推廣,設X是巴拿赫空間,T是從X到X中的線性運算元, 是X上的恆同運算元, ,若有 ,使得 ,則稱 為T的特徵值, 稱為 相應於 的特徵元(當X是函式空間時, 也可稱為T相應於 的特徵函式),對於具有對稱核 的線性積分運算元
對稱核線性積分運算元
對稱核線性積分運算元如果 在G×G上是平方可積的,並且不恆等於0,那么K的特徵值與特徵函式有很好的性質,這些性質是:
1.K至少有一個特徵值;
2.K的一切特徵值都是實數;
3.K的絕對值最小的特徵值,其絕對值的倒數等於
對稱核線性積分運算元4.K的不同特徵值對應的特徵函式是正交的;
對稱核線性積分運算元
對稱核線性積分運算元
對稱核線性積分運算元
對稱核線性積分運算元
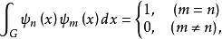
對稱核線性積分運算元5.設K的一切特徵值組成的集合為 ,則 至多是可數的,並且存在K的特徵函式序列 ,滿足 ,其中 是就範正交的,即
對稱核線性積分運算元
對稱核線性積分運算元
對稱核線性積分運算元
對稱核線性積分運算元
對稱核線性積分運算元
對稱核線性積分運算元
對稱核線性積分運算元
對稱核線性積分運算元
對稱核線性積分運算元
對稱核線性積分運算元並且若 是K的任一特徵值, 是K的屬於 的任一特徵函式,則 必等於 中的某一個,而 必是 中有限個元素的線性組合。上述性質5中的 稱為K的全系特徵值, 稱為K的全系就範正交特徵函式 。
希爾伯特-施密特定理
對稱核線性積分運算元
對稱核線性積分運算元
對稱核線性積分運算元
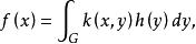
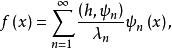
對稱核線性積分運算元希爾伯特-施密特定理(Hilbert-Schmidt theorem)是對稱核線性積分運算元的基本定理,設K是對稱核線性積分運算元,其核 是平方可積的,並且不恆等於零。設 和 是K的全系特徵值與全系就範正交特徵函式,設 是平方可積的,令
對稱核線性積分運算元
對稱核線性積分運算元
對稱核線性積分運算元則 可以表示為 的幾乎絕對一致收斂的傅立葉級數
對稱核線性積分運算元並且若
對稱核線性積分運算元有界,則上述收斂是絕對一致收斂,這一定理是希爾伯特(D.Hilbert)和施密特(E.Schmidt)所建立的。這一定理在對稱核線性積分方程理論中起重要作用。有時,人們還把關於對稱核線性積分運算元的一整套理論也統稱為希爾伯特-施密特理論 。
希爾伯特-施密特積分運算元
對稱核線性積分運算元
對稱核線性積分運算元
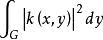
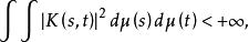
對稱核線性積分運算元希爾伯特-施密特積分運算元(Hilbert-Schmidtintegral operator)是一類核平方可積的積分型運算元,設 是測度空間, 是 上可測函式,並且
對稱核線性積分運算元則
對稱核線性積分運算元
對稱核線性積分運算元
對稱核線性積分運算元
對稱核線性積分運算元是 到自身的有界線性運算元,如果 是可分空間,那么易知T是 上的希爾伯特-施密特運算元,因而上述積分運算元通常稱為 希爾伯特-施密特積分運算元。

