定義
大氣壓的變化跟高度有關。大氣壓是由大氣層受到重力作用而產生的,離地面越高的地方,大氣層就越薄,那裡的大氣壓就應該越小。不過,由於跟大氣層受到的重力有關的空氣密度隨高度變化不均勻,氣壓式海拔儀測量海拔高度時是按大氣壓強對海拔高度進行換算, 但由於測量地點的天氣狀況與標準大氣條件不同 ,而且大氣壓隨高度減小變化不均勻,所以氣壓式海拔儀顯示的海拔高度不夠準確,於是就有了密度高度(Density altitude) 這個概念,用一個公式將測量地的空氣密度值校正到標準大氣條件下的空氣密度,經過一系列計算得出校正後的海拔高度,這個高度更接近於實際的海拔高度。
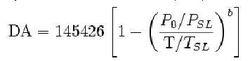
計算公式
計算公式其中:
DA = 密度高度單位:英尺
P0 = 測量地大氣壓強 單位Pa
PSL = 標準大氣壓強(101.325 kPa)
T = 測量地的空氣絕對溫度 實際溫度(°C)+273.15 單位K
TSL =288.15 K
b = 0.235
要換算成米用 DAx0.3048
