基本介紹
學生化極差
學生化極差
學生化極差
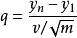
學生化極差 學生化極差亦稱“t化極差”,是極差R與樣本標準差之比。主要用於正態總體 N(μ,σ ),兩種基本形式:1) d=R/ S,其中S是修正樣本標準差;2),其中是σ 的無偏估計, 與R獨立且服從自由度為ν 的分布。t化極差主要用於多重比較和建立R的置信(預測)區間, 統計量d和q都有編制好的臨界值表 。
相關分析
學生化極差
學生化極差
學生化極差 設是容量為n的隨機樣本,來自平均數為0和方差為1的正態密度,再設是自由度為m的卡方分布,諸x和是獨立的。隨機變數
學生化極差
學生化極差 稱為學生化極差(y是x的順序統計量),在某些套用問題中它是重要的 。設N(x)是平均數為0方差為1的正態密度的累積分布,是同一分布的密度函式,那么x的極差分布是
學生化極差 其中
學生化極差
學生化極差
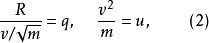
學生化極差 R和的聯合分布,其中是自由度為m的卡方分布,是
學生化極差
學生化極差 作從R,到q,u的變數變換
學生化極差
學生化極差 雅可比行列式是,我們得到q和u的聯合密度
學生化極差 q的密度通過k(q,u)對u積分得到
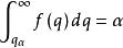
學生化極差 對於n大於2的值,這個函式是很複雜的,但是對a=0.01,0.05和0.10,積分
學生化極差 已被製成表。前面所談的可歸納成下述定理 。
定理
學生化極差
學生化極差 設
是來自平均數為0和方差為1的正態密度的一個隨機樣本,再設是與之獨立的自由度為m的卡方變數,那么
學生化極差
學生化極差
學生化極差 服從自由度為n和m的學生化極差分布,其中是的極差,密度用(4)給出 。

