簡介
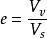
孔隙比土是由三相組成的,即—土粒、土中水、土中氣,也稱土的固相、液相、氣相。孔隙比的含義是土中孔隙體積(水和氣的體積)與土粒體積之比,用e表示。
孔隙比e與是土的重要物理性質指標,e可用來評價天然土層的密實程度,一般來說,e值越小,土越密實,壓縮性越低;e值越大,土越疏鬆,壓縮性越高。土的壓縮性高,表明土體的結構強度差,則土體的壓縮量大。
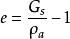
以岩石為例,其孔隙比計算公式為:
孔隙比
孔隙比
孔隙比式中, 為岩石中的孔隙體積,為岩石中固相骨架的體積。
計算關係
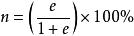
粘性土孔隙比和孔隙率是基礎工程設計常用的參數,一般通過下式確定:
孔隙比
孔隙比或
孔隙比
孔隙比或
孔隙比
孔隙比
孔隙比其中,為粘性土體本身的孔隙比,n為粘土孔隙率,是粘性土體的比重,是粘性土體的密度。
孔隙比作用
孔隙比是表征土體受荷後孔徑分布的一個巨觀指標,是土體應力狀態、屈服狀態、擾動狀態和應力水平等影響因素的最終反映。
孔隙比是土體中的孔隙體積與其固體顆粒體積之比,是說明土體結構特徵的指標。在工程地質中,通常用孔隙比評價土的密度、計算土的壓縮係數及評價土的允許承載力。在同樣條件下,土的孔隙比越大,其地基基礎的允許承載力越小。對砂土來說,往往用砂的孔隙比(e)來決定砂的密實度;例如礫砂、粗砂、中砂,其孔隙比密實的e<0.60,中密的0.60≤e≤0.75,稍密的0.75<e≤0.85,鬆散的e>0.85;細砂、粉砂密實的e<0.70,中密的0.70≤e≤0.85,稍密的0.85<e≤0.95,鬆散的e>0.95;砂的密實度決定了砂的承載力。
臨界孔隙比
砂土在剪力作用下體積不發生變化的孔隙比。室內試驗表明,當密實砂土受剪時,體積發生膨脹,而鬆散砂土在受剪時體積卻發生收縮,因此任何一種砂土都有一個臨界孔隙比。如果砂土層的天然孔隙比大於此值,由於振動的作用,砂土的體積會減小,若處於不排水狀態,孔隙水壓就會升高,可能產生液化;反之就不會液化。

