基本原理
子帶編碼和解碼過程 所謂子帶編碼技術,是將原始信號由時間域轉變為頻率域,然後將其分割為若干個子頻帶,並對其分別進行數字編碼的技術。它是利用帶通濾波器(BPF)組把原始信號分割為若干(例如m個)子頻帶(簡稱子帶)。將各子帶通過等效於單邊帶調幅的調製特性,將各子帶搬移到零頻率附近,分別經過BPF(共m個)之後,再以規定的速率(奈奎斯特速率)對各子帶輸出信號進行取樣,並對取樣數值進行通常的數字編碼,其設定m路數字編碼器。將各路數字編碼信號送到多路復用器,最後輸出子帶編碼數據流。 在接收端實現傳送端的逆過程。輸入子帶編碼數據流,將各子帶信號分別送到相應的數字解碼電路(共m個)進行數字解調,經過諸路低通濾波器(m路),並重新解調,可把各子帶頻域恢復為當初原始信號的分布狀態。最後,將各路子帶輸出信號送到同步相加器,經過相加恢復為原始信號,該恢復的信號與原始信號十分相似。
編碼的套用
子帶編碼技術具有突出的優點。首先,聲音頻譜各頻率分量的幅度值各不相同,若對不同子帶分配以合適的比例係數,可以更合理地分別控制各子帶的量化電平數目和相應的重建誤差,使碼率更精確地與各子帶的信號源特性相匹配。通常,在低頻基音附近,採用較大的比特數目來表示取樣值,而在高頻段則可分配以較小的編碼比特。其次,通過合理分配不同子帶的比特數,可控制總的重建誤差頻譜形狀,通過與聲學心理模型相結合,可將噪聲頻譜按人耳主觀噪聲感知特性來形成。於是,利用人耳聽覺掩蔽效應可節省大量比特數。 在採用子帶編碼時,利用了聽覺的掩蔽效應進行處理。它對一些子帶信號予以刪除或大量減少比特數目,可明顯壓縮傳輸數據總量。比如,不存在信號頻率分量的子帶,被噪聲掩蔽的信號頻率的子帶,被鄰近強信號掩蔽的信號頻率分量子帶等,都可進行刪除處理。另外,全系統的傳輸信息量與信號的頻帶範圍、動態範圍等均有關係,而動態範圍則決定於量化比特數,若對信號引入合理的比特數,可使不同子帶內按需要給以不同的比特數,也可壓縮其信息量。
影響因數
子帶數目、子帶劃分、編碼參數、子帶中比特的分配、每樣值編碼比特、頻寬。
分類
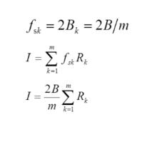
等頻寬子帶編碼 n各子帶的頻寬 是相同的,其優點是易於硬體實現,便於理論分析。 其中,k= 1, 2, 3 …, m為子帶總數,B編碼信號總頻寬 q。
寬子帶編碼
各子帶頻寬是不同的,常用的子帶劃分是令各子頻寬度隨K的增加而增加(低頻段子帶頻寬窄,高頻段寬),其優點是對不同的子帶分配的比特數不同,能獲得很好的質量。
編碼速率
子帶n nm:子帶數, nBk(k=1,…,m):各子帶頻寬, n
fsk(=2Bk):抽樣頻率, n
Rk:量化/編碼比特數,
ß若子帶頻寬相等,即等頻寬子帶編碼
存在的問題
濾波器的具體實現不可能是理想的帶通,其幅度影響不可避免地帶有有限的滾降。因此在劃分子帶時,只能使子帶間有交疊或者使子帶間有一定的間隙。前者若按奈氏頻率取樣將會產生混疊失真,而後者使原有的部分頻帶經濾波而損失掉,重建的信號會有失真。針對這個問題的解決方法有正交鏡像濾波法和時域混疊消除法。

