基本假設
如圖1a所示的是一維固結的情況之一,其中厚度為H的飽和粘性土層的頂面是透水的、而其底面則不透水。假設該土層在自重作用下的固結已經完成,只是由於透水面上一次施加的連續均勻分布載荷p才引起土層的固結。一維固結理論的基本假設如下:
1.土是均質、各向同性和完全飽和的;
2.土粒和孔隙水都是不可壓縮的;
3.土中附加應力沿水平面是無限均勻分布的,因此土層的壓縮和土中水的滲流都是豎向的;
4.土中水的滲流服從於達西定律;
5.在滲透固結中,土的滲透係數k和壓縮係數a都是不變的常數;
6.外荷是一次驟然施加的,在固結過程中保持不變;
7.土體的變形完全是孔隙水壓力消散引起的。
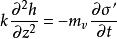
圖1微分方程
方程建立
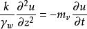
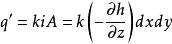
在飽和土層頂面下z深度有一個微單元體(圖1b),由於固結時滲流只能是自下而上的,在外荷載一次施加後某時間t(sec)流入和流出單元體的水量q'和q''(cm /s)分別為:
太沙基一維固結理論
太沙基一維固結理論式中:k——z方向的滲透係數,cm/s(1cm/s≈3×10 cm/年);
i——水頭梯度;
h——透水面下z深度處的超靜水頭,cm;
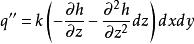
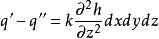
A——微單元體的過水麵積,cm ,A=dxdy。於是單元體的水量變化為:
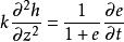
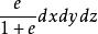
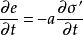
太沙基一維固結理論已知單元體中孔隙體積V(cm )的變化率(減少)為:
太沙基一維固結理論式中e為天然孔隙比。
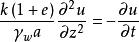
太沙基一維固結理論根據固結滲流的連續條件,單元體在某時間t的水量變化應等於同一時間t該單元體中孔隙體積的變化規律,因此考慮到單元體中土粒體積為不變的常數,從而得到:
太沙基一維固結理論再根據土的應力應變關係的側限條件,有:
太沙基一維固結理論或
太沙基一維固結理論式中:a——土的壓縮係數,MPa ,a=Δe/Δp;
dσ'——有效壓力增量。
太沙基一維固結理論將上式代入,可得:
太沙基一維固結理論或
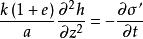
太沙基一維固結理論根據土骨架和孔隙水共同分擔外壓的平衡條件:
太沙基一維固結理論式中:σ——單元體中的附加應力,如在連續均布載荷作用下則σ=p;
太沙基一維固結理論
太沙基一維固結理論u——單元體中的孔隙水壓力,(為水的重度);
太沙基一維固結理論
太沙基一維固結理論
太沙基一維固結理論
太沙基一維固結理論以和代入和,可得:
太沙基一維固結理論或
太沙基一維固結理論或
太沙基一維固結理論
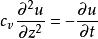
太沙基一維固結理論
太沙基一維固結理論式中:——土的豎向固結係數,,它是滲透係數k、壓縮係數a、天然空隙比e的函式,但一般通過固結試驗直接測定。
方程解析解
如圖1a所示的初始條件(開始固結時的附加應力分布情況)和邊界條件(可壓縮土層頂底面的排水條件)如下:
當t=0和0≤z≤H時,u=σ;
當0<t<∞和z=0時,u=0;
太沙基一維固結理論當0<t<∞和z=H時,;
當t=∞,0≤z≤H時,u=0。
根據以上的初始條件和邊界條件,採用分離變數法可求得微分方程的特解:
太沙基一維固結理論式中:m——正奇數(1、3、5……);
exp——指數函式;
H——壓縮土層最遠的排水距離,當土層為單向(上面或下面)排水時,H取土層厚度;雙面排水時,由土層中心分別向上下兩方向排水,H應取土層厚度之半;
T——豎向固結時間因數,無量綱,按下式計算:
太沙基一維固結理論式中:c——豎向固結係數;
t——固結歷時。

