概述
太沙基固結理論只在一維情況下是精確地,對二維、三維問題並不精確。比奧(Biot)從較嚴格的固結機理出發推導了準確反映孔隙壓力消散與土骨架變形相互關係的三維固結方程,一般稱為真三維固結理論,而將太沙基三維方程稱為擬三維固結方程。這裡僅介紹飽和土體固結的比奧理論。
比奧固結方程
平衡方程
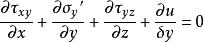
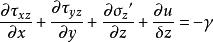
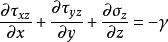
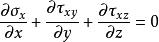
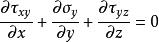
在土體中取一微分體。若體積只考慮重力,z坐標向上為正,壓力以壓為正,則三維平衡微分方程為:
比奧固結理論
比奧固結理論
比奧固結理論
比奧固結理論式中,為土的重度,應力為總應力。
有效應力原理
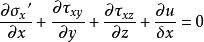
根據有效應力原理,總應力為有效應力與孔隙壓力u之和,且孔隙水不承受剪應力,用矩陣表示:
比奧固結理論其中
比奧固結理論展開即為
比奧固結理論
比奧固結理論
比奧固結理論
比奧固結理論
比奧固結理論
比奧固結理論式中,,實際上是各方向的單位滲透力,此式是以土骨架為脫離體建立的平衡微分方程。
比奧理論與太沙基理論的比較
建立方程所依據的假定比較
相同點:假設骨架線性彈性,變形微小,滲流符合達西定律等。
不同點:太沙基認為在固結過程中法向總應力和H不隨時間而變,而比奧無此假設。
比奧固結理論
比奧固結理論但是經過理論推導和實驗驗證:H本身必須隨時間而變。太沙基理論假定H不隨時間而變是不能滿足相容方程的,太沙基固結方程在二維,三維問題中是不嚴格的,而對一維問題,H= ,外荷不變則 不變,H不隨時間而變,此時太沙基方程是嚴格的。事實上,可以說太沙基方程是比奧方程在法向總應力和不隨時間而變化的假定下的一種簡化。
孔隙壓力與位移的聯繫比較
太沙基理論:不需將孔壓與位移聯繫起來,孔壓的消散2僅僅取決於孔壓的初始條件和邊界條件,與固結過程中位移的變化無關。
比奧理論:反映固結過程中位移與孔壓的相互影響。
實際土體的固結過程中,孔壓的變化總是與土的位移分不開的。有些問題中,孤立地分析孔壓的變化,不與位移聯繫,僅僅帶來一定的誤差;當有些問題不將兩者結合起來就很難給出恰當的分析。例如加筋土提地基的固結問題,在土堤底部設定的拉筋沒有改變地基上所受的荷重,也沒有改變地基的排水條件,按太沙基理論分析,加筋與不加筋孔壓消散是一樣的。而事實上,拉筋與土體間的摩擦力阻礙了地基土的側向位移,減小了土的側脹,對孔壓消散是有影響的;反過來,孔壓的消散使變形發展,又使拉筋與土體之間的摩擦力隨時間變化。孔壓與位移是緊密相連的,只有用比奧理論才能進行合理計算,才能反映拉筋的作用。
比奧理論在解孔壓的同時也解出位移的變化,這種位移解答要比太沙基的方法——間接估算固結沉降更符合實際。此外,比奧方程不僅解出了沉降,還解出了水平位移,這是太沙基理論所無法解決的。
孔壓隨時間變化的比較
假定不同,方程不同,兩種理論解得的孔壓結果就不同。
假設總應力是否隨時間變化,對孔壓消散的影響是顯著的。無疑也影響到有效應力的增長及固結度。

