大氣污染模式
進行大氣污染調查一般只能知道污染物在大氣中分布的當前狀況和歷史變化情況,很難知道不同類型污染源和新污染源在大氣污染中所起的作用。大氣污染的數學模式不僅能提供這方面的信息,而且還能預報區域性或全球性的大氣質量。許多例子表明,大氣污染數學模式可以比監測網更迅速、更經濟地提供污染物分布的近似情況。這種模式可用物質連續方程的數值求解模擬污染物的擴散、遷移和反應過程。大氣污染模式有兩種常用的積分求解方法:運動氣室法(拉格朗日運算元)和固定坐標法(歐拉運算元)。運動氣室可以看作是通過瞬時風矢量移動的垂直空氣柱,這樣在所研究的範圍內可以劃出一個特定的表面軌跡。由於空氣有固定的質量,可以忽略水平擴散,在化學動力學上把這種氣柱看作一個運動的煙霧室。一般來說,運動氣室法避免了關於具有三維空間坐標和時間的支配方程的冗長的積分運算,還可以通過追蹤從污染源出來的某一氣包來核實污染物的分布。固定坐標模式一般涉及具有三維歐拉運算元的耦合物類濃度方程的積分運算。它們通常受大型計算機存貯要求和大量計算時間的限制。但是我們可以獲得每一個網路點和每一個時間的解,而不是只有沿著特定風軌跡的解。解這種支配方程的技術已經成熟。原則上,固定坐標模式可以考慮地面吸收,污染源的任意分布,逆溫層的上升和下降,以及光化學煙霧過程任意描述的影響。
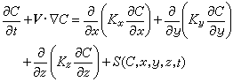
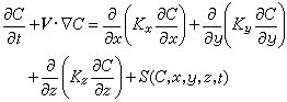
大多數大氣污染問題的基本擴散數學模式,可以寫成如下的形式:
(1)
(2)
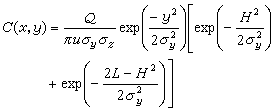
(3)
這裡假定在地面上沒有污染物的垂直通量,在對流層及其上方,垂直通量也為零。同時還假定沒有污染物的丟失。例如,在地面由於吸收或化學轉化所產生的效應可以近似地通過將方程(3)乘以exp(-t/τ)來表示,式中t為污染物在空氣中傳播的時間;τ為污染物的壽命。根據所採用的σy和σz值,方程(3)對於平均時間在3分鐘到1小時範圍內通常是可以套用的。
家庭、商業和比較小的工業污染源,可以用一個簡單的模式來計算它們在大氣污染中所起的平均貢獻,這裡假定污染物在所考慮的範圍內是均勻分布的,其方程式是:
(4)
對於大工業污染源來說,是不能用公式(4)來計算的。這是因為大工廠的煙囪都比較高,具有較高的有效排放高度。在這種情況下,可以用如下的公式來計算它們對地面的平均貢獻。
(5)
大氣污染模式的研究已經給出關於發生在大氣中的污染物的物理和化學轉化過程的輪廓。今後的主要任務,是對污染物在大氣中的轉化過程以及在整個地球上空範圍內的遷移過程作出定量的描述。

