定理介紹
外角平分線定理
外角平分線定理
外角平分線定理
外角平分線定理
外角平分線定理
外角平分線定理三角形外角平分線定理:三角形外角的平分線如果和對邊的延長線相交,它按照夾相應角的兩邊的比外分對邊。如下圖,在中,外角的平分線交的延長線於,則。
圖1定理的證明
證法一
如圖1,在BA的延長線上任取一點E,連線DE
外角平分線定理
外角平分線定理
外角平分線定理
外角平分線定理是中的外角平分線,
外角平分線定理
外角平分線定理
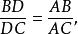
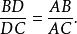
外角平分線定理即,
外角平分線定理由三角形等角定理得:
外角平分線定理
外角平分線定理
外角平分線定理
外角平分線定理得:
外角平分線定理
外角平分線定理又
外角平分線定理
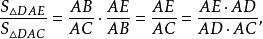
外角平分線定理證法二
外角平分線定理
外角平分線定理由正弦定理,得:
外角平分線定理
外角平分線定理中,
外角平分線定理
外角平分線定理中,
外角平分線定理
外角平分線定理,
外角平分線定理
外角平分線定理三角形外角平分線逆定理
外角平分線定理
外角平分線定理
外角平分線定理
外角平分線定理
外角平分線定理
外角平分線定理
外角平分線定理如圖1,若是的邊延長線上的一個點,且滿足,則是的的外角平分線。
外角平分線定理
外角平分線定理
外角平分線定理證明:如圖1,在的延長線上任取一點,連線。
外角平分線定理
外角平分線定理
外角平分線定理
外角平分線定理
外角平分線定理
外角平分線定理得
外角平分線定理
外角平分線定理
外角平分線定理
外角平分線定理
外角平分線定理
外角平分線定理
外角平分線定理
外角平分線定理
外角平分線定理由三角形等角逆定理得:,即或,即,
外角平分線定理
外角平分線定理
外角平分線定理是的外角,
外角平分線定理
外角平分線定理
外角平分線定理
外角平分線定理,即,也就是,
外角平分線定理
外角平分線定理
外角平分線定理,即,
外角平分線定理
外角平分線定理
外角平分線定理
外角平分線定理是的的外角平分線。

