介紹
魏爾斯特拉斯逼近定理有兩個:
閉區間上的連續函式可用多項式級數一致逼近。
外爾斯特拉斯逼近定理閉區間上周期為的連續函式可用三角函式級數一致逼近。
證明
•第一逼近定理可以從第二逼近定理直接推出。
•第二逼近定理的證明;
外爾斯特拉斯逼近定理
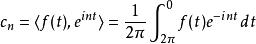
外爾斯特拉斯逼近定理設f(t)為周期為的連續函式,定義為一三角級數。
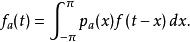
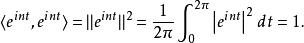
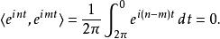
外爾斯特拉斯逼近定理首先證明,為一個正交函式系:
外爾斯特拉斯逼近定理
外爾斯特拉斯逼近定理
外爾斯特拉斯逼近定理
外爾斯特拉斯逼近定理
外爾斯特拉斯逼近定理
外爾斯特拉斯逼近定理
外爾斯特拉斯逼近定理(因為)。 故令,於是我們可以求出。 將代入的定義式中,有:
外爾斯特拉斯逼近定理
外爾斯特拉斯逼近定理
外爾斯特拉斯逼近定理下面對積分號中的和式S求和,令,那么就有:,分成正負兩部分求和,可知:
外爾斯特拉斯逼近定理
外爾斯特拉斯逼近定理
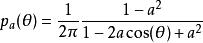
外爾斯特拉斯逼近定理帶回原積分,有,這就是f(s)的泊松積分。其中稱為 泊松核。故有:
外爾斯特拉斯逼近定理
外爾斯特拉斯逼近定理
外爾斯特拉斯逼近定理我們要檢驗的的是在時的情況,可以證明:
外爾斯特拉斯逼近定理
外爾斯特拉斯逼近定理
外爾斯特拉斯逼近定理由f(t)的一致連續性,可以證明,上式在時,滿足一致收斂的條件,故我們可以用來一致逼近f(t)。
參閱
•傅立葉級數
