定義
壓高公式(barometric height formula)是指描述氣壓隨高度變化規律的公式。當大氣柱增厚、密度增大時,則空氣品質增多,氣壓就升高。反之,氣壓則減少。因而,任何地方的氣壓值總是隨著海拔高度的增加而遞減。
公式介紹
壓高公式一般為:
H=H+R/g×Tm×㏑(P/Ps)
在上式中, H為測站的海拔高度, H為標準等壓面的海拔高度, P為地面氣壓, Ps為氣柱平均高度, R, g均為常數。
靜力平衡方程
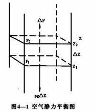
假設大氣相對於地面處於靜止狀態,則某一點的氣壓值等於該點單位面積上所承受鉛直氣柱的重量。見下圖,在大氣柱中截取面積為1cm2,厚度為△Z 的薄氣柱。設高度Z1 處的氣壓為P1,高度Z2 處的氣壓為P2,空氣密度為ρ,重力加速度為g。在靜力平衡條件下,Z1 面上的氣壓P1 和Z2 面上的氣壓P2 間的氣壓差應等於這兩個高度面間的薄氣柱重量,即:
P2-P1=-△P=-ρg(Z2-Z1)=-ρg△Z
式中負號表示隨高度增高,氣壓降低。若△Z 趨於無限小,則上式可寫成:
-dP=ρgdZ
這就是氣象上套用的大氣靜力學方程。 方程說明,氣壓隨高度遞減的快慢取決於空氣密度(ρ)和重力加速度(g)的變化。重力加速度(g)隨高度的變化量一般很小,因而氣壓隨高度遞減的快慢主要決定於空氣的密度。在密度大的氣層里,氣壓隨高遞減得快,反之則遞減得慢。實踐證明,靜力學方程雖是靜止大氣的理論方程,但除在有強烈對流運動的局部地區外,其誤差僅有1%,因而得到廣泛套用。
壓高公式根據靜力學方程求得氣壓隨高度的減低只能限於一小段高度上。在實際大氣中,如果要求得很大一段高度上的氣壓變化,就必須套用這個方程經過積分後的氣壓高度公式,這樣就可以把氣壓和氣溫隨高度的變化率全部考慮在內。但是由於在大氣通常的情況下,氣溫和密度的分布很複雜,不可能對這個方程進行積分,所以只能利用某些假定來求得解決。由於所取的假定不同,可以得出不同形式的壓高公式。主要的假定有大氣為均質的、等溫的、多元的等。
鉛直氣壓梯度和氣壓階
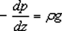
1、鉛直氣壓梯度
由靜力平衡方程可知:dp=-ρgdz推出
壓高公式鉛直氣壓梯度:是指高度每變化單位距離氣壓的改變值。用hpa/100m或hpa/m來表示。
當氣溫不變時,垂直氣壓梯度隨氣壓的增大而增大,當氣壓不變時,隨氣溫的升高而減少。(因為氣壓高或氣溫低時,空氣密度大)。
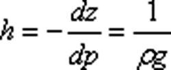
2、氣壓階
氣壓階是指單位氣壓高度差。它是鉛直氣壓梯度的倒數,是氣壓每變化1hpa高度的改變值。用h表示。單位為米/百帕。
壓高公式由上式可知,密度大的氣層,h較小。同一地點,高空氣壓階比低空大。
由於空氣密度不易直接測定,所以將ρ=P/RT代入氣壓階公式得
壓高公式將R=0.287J/(g·℃),g=980cm/s代入上式得氣壓階公式為
壓高公式其中,t、P為起始高度溫度和氣壓。根據此式可算出表1不同P、t下的h。
由氣壓階公式得出以下兩點結論:
第一,t一定時,P愈高,h愈小(h=-dz/dp),Gz愈大(Gz=-dp/dz),氣壓隨高度遞減愈快;P愈低,h愈大(h=-dz/dp),Gz愈小(Gz=-dp/dz),氣壓隨高度遞減愈慢。
第二,P一定時,空氣柱溫度愈高,氣壓階愈大,Gz愈小,氣壓隨高度遞減愈慢。反之,空氣柱溫度愈低,氣壓階愈小,Gz愈大,氣壓隨高度遞減愈快。
注意:在精度要求不高的情況下,可利用氣壓階公式計算高度。為精確起見,P、t取氣層的平均值。
表1:不同氣壓和溫度條件下的氣壓階
壓高公式拉普拉斯壓高公式(等溫大氣壓高公式)
為了精確地獲得氣壓與高度的對應關係,通常將靜力平衡方程從氣層底部到頂部進行積分,即得出壓高公式。
1、公式的推導
將狀態方程代人靜力平衡方程,得到
壓高公式(2)
壓高公式(3)
對(3)式積分,並假設T為常數,得
壓高公式
壓高公式(4)
壓高公式(5)
將R=0.287J/(g·℃), T=273+t=273(1+αt), g=980.6cm/s代入(4-5),
並把自然對數變為以10為底的對數,則得到拉普拉斯壓高公式
壓高公式(6)
壓高公式表征了氣壓隨高度的變化規律,即通過鉛直方向上兩點的氣壓來求高度差,其中t取氣層的平均溫度。
套用
1、在實際工作中,常用(6)式,由鉛直方向上兩點的氣壓來求高度差,其中t取氣層的平均溫度。
①根據不同高度上的氣壓差和氣柱的平均溫度,求這兩處之間的高度差;
②根據某高度的氣壓值和氣柱的平均溫度,推算另一高度上的氣壓值;
③由不同高度上的氣壓,求兩高度之間氣柱的平均溫度。
例題解析
例如:已知山腳氣壓為1080hpa,溫度為12℃;山頂氣壓為920hpa,溫度為8℃,求山高?
解一:利用氣壓階公式
壓高公式
壓高公式
壓高公式解二:利用壓高公式
壓高公式或
壓高公式2、針對氣象火箭探空系統20km以上高空氣壓測量的工程需求,基於壓高公式建立了GPS高度和溫度反算氣壓的數學模型,並對該模型的誤差傳遞進行了分析,給出了其系統誤差、隨機誤差的計算方法。同時,以標準大氣參數作為樣本數據,可以對20~70km高空的氣壓參數及其準確度進行了仿真反算和誤差分析。
3、對高空氣象學領域而言,位勢高度是重要的一個參量,為天氣學和氣候學業務套用所提供的高度一般是位勢高度。位勢高度通常採用探空所實時測量的溫度、氣壓和濕度來計算,計算公式為氣壓-高度公式(簡稱壓高公式)。
意義
大氣壓力隨高度的分布模型是大氣折射理論研究的基礎。人們通過研究大氣折射理論中有關大氣參數之間的理論關係,可以知道目前文獻給出的壓高公式是不完備的;同時,以位勢地心距取代幾何地心距,給出了乾潔大氣、水汽和濕大氣的壓高公式,以及它們在等溫大氣層和多元大氣層中的具體表述。結合標準大氣模型和大氣分層結構的特性,研究人員可以給出壓高公式在不同情況下的具體套用。

