簡介
動力打樁公式是指在打樁過程中,研究貫入度與樁承載力之間關係的公式。動力打樁公式選擇與實際情況相關,例如鋼管樁打樁的質量控制,除定位精度控制外,及時了解打樁過程中相應貫入度與承載力關係,使得鋼管樁沉入施工既能滿足設計承載力要求,又不至於出現阻力過大致使鋼管樁損壞或者承載力過低影響正常使用等情況發生,需要多種動力打樁公式。
海利公式參數取值分析
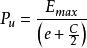
海利動力打樁公式是一個較常用動力打樁公式。一般可以通過以下公式計算:
動力打樁公式
動力打樁公式
動力打樁公式
動力打樁公式
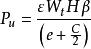
動力打樁公式其中 為樁的極限承載力; 為錘的重力;H 為錘擊跳高,即錘的落距;ξ 為錘擊下落時的能量折減係數; 為錘擊效率; e 為終錘時貫入度;C 為錘擊時樁土體系總的彈性變形。這一公式在國內外得到了廣泛的套用。專家們結合工程實例,進行了不少有益的嘗試,積累了豐富的經驗。近年來,人們將海利公式與現代測試技術相結合,直接測得樁頂承受的錘擊能量 ,省去了原打樁公式中難以確定的參數 (如錘擊效率折減係數,樁帽、樁墊和錘墊的彈性變形值和撞擊時的恢復係數等),得到了較簡化的打樁公式:
動力打樁公式
動力打樁公式式中: 為實測得到傳遞到樁身的能量;e 為終錘時貫入度;C 為樁土體系總的彈性變形。此公式大大降低了人為確定參數帶來的誤差,提高了海利公式的可靠性 。通過水準儀器實測得出的基樁每陣錘擊下沉量和每陣錘擊數,算出該陣的平均貫入度 e。
貫入度
土對樁的動態阻力(貫入阻力)隨土質和樁的擊入深度變化而變化,錘擊法打樁入土時,每一錘擊的入土深度,在硬土中比在軟土中要小。在勻質土中打樁,同一根樁越打得深,則每一錘擊的入土深度也越小。打樁公式就是根據打試樁的數據而得出的反映貫入度與貫入阻力之間關係的公式,它以碰撞理論和能量守衡原理作為依據推出,即輸入的能量等於有用的能量加被消耗的能量。在打樁過程中,每錘 擊一次樁的下沉量。施工中常以最後 一陣錘擊(常取10擊)的平均每擊樁 的下沉量作為貫入度。它是控制沉樁的一項重要指標,對於設計樁尖標高 處於粘土層的尤為重要。設計貫入度主要考慮地質、錘型、樁的設計承載 力等因素,但一般是根據試樁資料的當地實踐經驗確定,或用公式計算確定,例如表達極限阻力與貫入度相互關係的動力公式等。貫入度是從樁的設計到施工中較為直觀和重要的環節。樁的設計是否與實際情況一致, 貫入度是一個重要的衡量標準。採用錘擊沉樁工藝時,當地質條件、樁型、錘重、落錘高度等參數基本確定時,最後貫入度與成樁後的實際承載力密切相關。
樁的極限承載力
樁的極限承載力是指沿樁軸方向樁所能承受荷載的能力。它們應分別按樁材強度和土的阻力進行評價,取其較小者。當考慮土的阻力時,樁的極限承載力為樁側摩阻力和樁端 阻力發揮到極限值或接近於極限值時樁所能承受的軸向荷載。將極限摩阻和極限端阻除以各自的安全係數即得樁的容許承載力。當考慮樁材強度時,先要根據樁端的固著條件和土的性質確定樁的計算長度,然後即可按材料力學的方法進行壓桿的計算。樁的承載力最好通過試樁確定,打入樁可在施工時以衝擊試驗驗證。
錘擊沉樁
錘擊沉樁是用落錘、柴油樁錘、蒸汽錘及液壓樁錘等,利用錘的衝擊能量克服土對樁的阻力,使樁沉到預定深度達到持力層的方法。此法為預製樁施工的基本方法。打樁順序有:逐排打;自邊沿向中央打;自中央 向邊沿打;分段打。為避免打樁過程中產生樁位移、土隆起等現象,必須選擇好打樁順序。一般以由中 央向沿邊打樁和分段打較合宜,如樁距較大則較易施工。在打樁過程中,如突然出現樁錘回彈、貫入度突增、錘擊時樁彎曲、傾斜、顫動、樁頂破壞加劇等情 況則表明樁身可能破壞;最後階段,沉降量太小時,要避免硬打,如難沉下,要檢查樁墊、樁帽是否適宜,需要時可更換或補充軟墊。
錘擊沉樁的停錘控制標準:設計樁尖高程處為硬塑黏性土、碎石土、中密以上的砂土或風化岩等土層時,根據貫入度變化並對照地質資料,確認樁尖已沉入該土層,貫入度達到控制貫入度。當貫入度已達到控制貫入度,而樁尖高程未達到設計高程時,應繼續錘人0. 10 m左右(或錘擊 30 ~ 50次),如無異常變化即可停錘;若樁尖高程比設計高程高得多時,應報有關部門研究確定。設計樁尖高程處為一般黏性土或其他鬆軟土層時,應以高程控制,貫入度作為校核。當樁尖已達設計高程,而貫入度仍較大時,應繼續錘擊,使其接近控制貫人度。在同一樁基中,各樁的最終貫入度應大致接近,而沉入深度不宜相差過大,避免基礎產生不均勻沉降。如因土質變化太大,致使各樁貫人度或沉樁深度相差過大時,應報有關部門研究,另行制訂停錘標準。對於特殊設計的樁,樁尖設計高程有高低時 (如拱橋的橋台樁等),應按設計要求處理。從沉樁開始起,應嚴格控制樁位及豎樁的豎直度或斜樁的傾斜度。在沉樁過程中,不得採用頂拉樁頭或樁身的辦法來糾偏,以防樁身開裂並增加樁身附加彎矩。

