術語簡介
壓電常數表征壓電體在壓力下產生極化強 弱(電壓大小)的常數。某些電介質在壓力作用下發生極化而在兩端表面出 現電位差的性質稱為壓電性。具有壓電性的物體稱為壓電體 。
一般壓電體 具有逆壓電效應,即在外電場作用下 壓電體會產生形變。目前套用最廣的 是鋯鈦酸鉛二元系壓電陶瓷,簡稱為 PZT,其壓電常數分量d可達5×10C/N。
壓電常數(Piezoelectric Constant)是壓電體把機械能轉變為電能或把電能轉變為機械能的轉換係數。它反映壓電材料彈性(機械)性能與介電性能之間的耦合關係。
壓電常數選擇不同的自變數(或者說測量時選用不同的邊界條件),可以得到四組壓電常數d、g、e、h,其中較常用的是壓電常數d。
其中壓電常數d33是表征壓電材料性能的最常用的重要參數之一,一般陶瓷的壓電常數越高,壓電性能越好。下標中的第一個數字指的是電場方向,第二個數字指的是應力或應變的方向,“33”表示極化方向與測量時的施力方向相同。
壓電常數不僅與應力T、應變S有關,而且與電場強度E、電位移D也有關。
表述形式
壓電常數可以從不同的角度來表述,其形式有四種,即d、e、g和,其中i=1,2,3;J=1,2,3,4,5,6 。
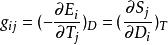
當壓電體處於恆定應力作用時,由於電場強度變化所產生的應變變化與電場強度變化之比;或在恆定電場作用時,由於應力變化所產生的電位移變化與應力變化之比,稱為壓電應變常數d,其表示式為
壓電常數其單位為C/N或m/V。
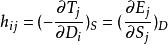
當壓電體受恆定應變作用時,由於電場強度變化所產生的應力變化與電場強度變化之比; 或受恆定電場作用時,由於應變變化所產生的電位移變化與應變變化之比,稱為壓電應力常數,其表示式為
壓電常數其單位為N/Vm或C/m^2。
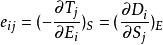
當壓電體受恆定電位移作用時,由於應力變化所產生的電場強度變化與應力變化之比; 或受恆定應力作用時,由於電位移變化所產生的應變變化與電位移變化之比,稱為壓電電壓常數,其表示式為
壓電常數其單位為Vm/N或m^2/C。
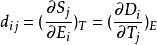
當壓電體受恆定應變作用時,由於電位移變化所產生的應力變化與電位移變化之比;或受恆定電位移作用時,由於應變變化所產生的電場強度變化與應變變化之比,稱為壓電勁度常數,其表示式為
壓電常數其單位為V/m或N/C。
測量意義
近年來,常採用壓電陶瓷作為精密微調機構的傳動源。它在飛彈、雷射頻率調諧等方面都有廣泛的套用 。
壓電常數目前用在雷射器上的壓電陶瓷有國盤、園筒、園盤疊堆和園形彎板等幾種。無論採用哪一種形式的壓電陶瓷,器件工作者最關心的是壓電常數,位移線性度和位移平行度。
由於壓電陶瓷的製造工藝複雜,質量很難嚴格控制,即使採用相同配方,相同工藝的產品,也很難保證這些參數完全相同,又由於老化等不穩定因素,因此,在使用前必須逐個挑選測量。

