概念
垂直角觀測在同一鉛垂面內,觀測視線與水平線之間的夾角,稱為垂直角,又稱傾角,用α表示。其角值範圍為0˚~±90˚。如圖所示,視線在水平線的上方,垂直角為仰角,符號為正(+α);視線在水平線的下方,垂直角為俯角,符號為負(-α)。
垂直角的作用
角度測量是確定地麵點位的三項基本測量工作之一,包括水平角與豎直角的測量。豎直角測量用於測定高差或將傾斜距離轉化成水平距離。
豎直度盤構造
豎直度盤構造DJ光學經緯儀豎直度盤的構造包括豎直度盤、豎盤指標、堅都指標水準管和豎盤指標水準管微動螺旋。如圖所示,豎直度盤固定在橫軸的一端,當望遠鏡在豎直面內轉動時,豎直度盤也隨之轉動,度盤中心的讀數指標與豎盤指標水準管連在一起,由豎盤指標水準管微動螺旋控制。調節豎盤指標微動螺旋,將豎直水準管氣泡居中,使讀數指標處於正確位置。讀數指標一般在觀測過程中不動,而是豎直度盤隨望遠鏡轉動。
垂直角測量原理
同水平角一樣,垂直角的角值也是度盤上兩個方向的讀數之差。望遠鏡瞄準目標的視線與水平線分別在豎直度盤上有對應讀數,兩讀數之差即為垂直角的角值。所不同的是,垂直角的兩方向中的一個方向是水平方向。無論對哪一種經緯儀來說,視線水平時的豎盤讀數都應為90˚的倍數。所以,測量垂直角時,只要瞄準目標讀出豎盤讀數,即可計算出垂直角。
垂直角計算公式
豎直度盤指標由於豎盤註記形式不同,垂直角計算的公式也不一樣。
垂直角
垂直角
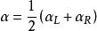
垂直角以順時針註記的豎盤為例,推導垂直角計算的公式。如圖所示,盤左位置:視線水平時,豎盤讀數為90˚。當瞄準一目標時,豎盤讀數為L,則盤左垂直角α為: ;盤右位置:視線水平時,豎盤讀數為270˚。當瞄準原目標時,豎盤讀數為R,則盤右垂直角α為: 。將盤左、盤右位置的兩個垂直角取平均值,即得垂直角α計算公式為: 。
垂直角
垂直角對於逆時針註記的豎盤,用類似的方法推得垂直角的計算公式為:;。
在觀測垂直角之前,將望遠鏡大致放置水平,觀察豎盤讀數,首先確定視線水平時的讀數;然後上仰望遠鏡,觀測豎盤讀數是增加還是減少:
若讀數增加,則垂直角的計算公式為α=瞄準目標時豎直盤讀數-視線水平時豎直盤讀數。
若讀數減少,則垂直角的計算公式為α=視線水平時豎直盤讀數-瞄準目標時豎直盤讀數。
垂直角觀測方法
(1)在測站點O安置經緯儀,在目標點A豎立觀測標誌,按前述方法確定該儀器垂直角計算公式。
(2)盤左位置:瞄準目標A,使十字絲橫絲精確地切於目標頂端如圖所示。轉動豎盤指標水準管微動螺旋,使水準管氣泡嚴格居中,然後讀取豎盤讀數L,記入垂直角觀測手簿表相應欄內。
(3)盤右位置:重複步驟2,其讀數為R,記入表相應欄內。
(4)根據垂直角計算公式計算,將計算結果分別填入表相應欄內。
有些經緯儀,採用了豎盤指標自動歸零裝置,其原理與自動安平水準儀補償器基本相同。當經緯儀整平後,瞄準目標,打開自動補償器,豎盤指標即居於正確位置,從而明顯提高了垂直角觀測的速度和精度。

