垂盆草苷
正文
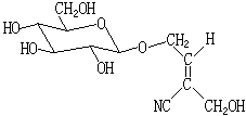
垂盆草苷為無色透明膠狀物;味苦;比鏇光度【α】庘-17.4°(0.6克/100毫升水),100℃以上受熱分解;極易溶於水,用各種有機溶劑未能結晶。
垂盆草苷對α-萘酚試劑呈陽性反應,不能還原費林溶液,用酸水解後則具有還原性;用苦杏仁酶水解,可得β-D-葡萄糖。垂盆草苷五乙醯衍生物為針狀晶體;熔點 79~80℃,比鏇光度【α】岻0°(1.0克/100毫升氯仿)。
垂盆草苷在稀苛性鹼液中和室溫下放置,即能定量地轉變成異垂盆草苷,並失去其原有的生理活性。


垂盆草苷是一種氰苷化合物,分子式 C11H17NO7。它存在於景天科垂盆草中。

垂盆草片,一種中成藥,有清利濕熱、解毒的功效,用於濕熱黃疸、急、慢性肝炎。
垂盆草提取物可降低肝損傷動物的血清丙氨酸氨基轉移酶,有效成分可能是垂盆草總胺基酸和垂盆草苷;其注射液、水提取物有抗菌作用,對葡萄球菌、鏈球菌、大腸桿菌、...
的有效成分垂盆草苷有促進肝細胞內的物質代謝、能量代謝及提高解毒功能,對肝細胞有保護作用 3、垂盆草苷對不同免疫狀態下的T細胞介導的免疫應答不同...治療B肝的療效與垂盆草苷的有效成分多少成正比。 【規格】每片含垂盆草...
氰苷所屬現代詞,指的是具有α-羥基腈的苷。
蘇木素巴戟醌壩巴苷L-白氨酸白斑網球花鹼白萊菊素白當歸素白帆白桂皮醛白果...堅木亭白芥子硫甙白芥子葡萄糖硫式白芥子甙白金雀花鹼白蠟樹內酯白蠟樹苷白...補骨脂素補骨脂乙素補骨脂定布卡兒芸香草醯胺布枯腦布枯樹脂布枯苷素布魯生布沙迪...
厚殼烯酮內酯 相關知識 參考資料垂盆草72 二、酚苷類藥74 牡丹皮75 天麻77...,並介紹了這些方法在常用含揮髮油類、含苷類、含木脂素類、含有機酸類、含生物... 茵陳63 威靈仙66 第三章含苷類中藥的鑑定68 第一節概述...
基本信息 圖書簡介 圖書目錄,不同產地的化學成分含量及種類也不同。四川墊江所產含芍藥苷“C”,浙江東陽所產則不含芍藥苷“C”。另研究表明,均用垂盆草糖漿治療肝炎,產於上海地區的垂盆草製成的糖漿治療效果最好,北方產的幾乎沒有療效。由此可以看出,活性...
相關詞條 相關連結概述病毒性肝炎病毒性肝炎,(包括甲型、乙型和非甲非乙型),是法定傳染病,具有傳染性較強、傳播途徑複雜、流行面廣泛、發病率較高等特...
概述 發病原因 病毒性肝炎臨床分型 臨床表現 病理變化