坡印亭-羅伯遜效應
坡印亭-羅伯遜效應,又稱坡印亭-羅伯遜阻力,以約翰·亨利·坡印亭(John Henry Poynting)與霍華德·珀西·羅伯遜(Howard Percy Robertson)命名,是太陽輻射令太陽系中的塵埃微粒,緩慢地往系中心螺鏇前進的效應。這種抗力實質上為,與微粒移動方向成切線的輻射壓分量。坡印亭在1903年在“以太理論”的基礎上,給出這種效應的描述,而以太理論在1905年至1915年間逐漸被相對論所取代。羅伯遜在1937年使用了相對論的概念,來描述這種效應。
解釋
這個效應可用兩種方式理解,當中會用到不同的參考系。

塵埃顆粒環繞太陽而行,從它們的角度出發的話(見右圖的(a)部份),太陽的輻射看起來就像是從其稍前方向來的(光行差)。因此吸收這輻射,會導致一股反運動方向的作用力(由於輻射以光速行進,而塵埃的運動速度要被光速慢好幾個數量級,所以行差角極其細小)。
把太陽系視作一個系統,從這樣一個系統的角度出發的話(見右圖的(b)部份),塵埃顆粒只能從它前面的方向吸收到陽光,因此顆粒的角動量不變。然而,根據質能等價,顆粒在吸收光子的同時,還得到了額外的質量。因此為了保證動量守恆(注意動量與質量成正比),顆粒必須減速,因而降到半徑較小的軌道。
注意光子的再放射,從顆粒的參考系(a)看來,是均勻的。然而,從太陽系的參考系(b)看來,放射是不均勻的,因此光子會從塵埃顆粒那兒帶走角動量。在塵埃顆粒軌道運動不變的情況下,降低角動量似乎有違直覺,但是這是放射時塵埃顆粒的質量減少的直接後果,而角動量與質量成正比。
在理解坡印亭-羅伯遜阻力時,可把它視為一慣性力,其作用方向與塵埃顆粒的軌道運動方向相反,因此它會導致顆粒的角動量下降。需要注意的是,儘管顆粒的角動量下降,但是其軌道速度仍然會持續上升。
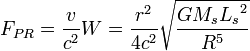
坡印亭-羅伯遜阻力等於:


一大小為幾微米的岩質塵粒,從一天文單位外的地方出發,要好幾千年才能夠移動到會被蒸發掉的距離。
對於比這種塵粒小得多的粒子而言,令它們向外鏇出的輻射壓,比令它們鏇入的坡印亭-羅伯遜效應要強。而對半徑約為半微米的岩質塵粒而言,此時輻射壓與重力相等,儘管坡印亭-羅伯遜效應還是有影響力的,但是這些粒子總會被太陽風吹出太陽系。中間大小的粒子,會因其大小及初速矢量的不同,而會鏇入或鏇出。
羅伯遜研究過點源輻射束中的塵埃運動。而蓋斯(Guess)也研究過這個問題,但他研究的是球源輻射,並發現遠現輻射源的粒子運動,其作用力與羅伯遜下的結論一致。
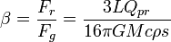
取輻射壓所造成的力與重力間的比值,可得無量綱的塵埃參數β,其表示式如下:

塵埃顆粒的運動方程如下:

