優點
土壩利用當地土料和砂、砂礫、卵礫、石碴、石料等築成的壩。它是一種古老而至今還不斷發展並得到廣泛使用的擋水建築物,有時也稱土石壩。土壩優點是:①築壩材料取自當地,可節省水泥、鋼材和木材;②對壩基工程地質條件要求比其他壩型低;③抗震性能較好等。其缺點是:①一般需在壩外另行修建昂貴的泄水建築物,如溢洪道、隧洞等;②如庫水漫頂,將垮壩失事,故抵禦超標準洪水能力較差。
沿革
土壩公元前2200多年,巴比倫人已在幼發拉底河修建土壩。公元前印度和埃及也建了一些土壩。為了防禦黃河洪水,早在春秋(公元前770~前476)以前中國人民就沿黃河兩岸修建土堤,經歷代擴充加固,至今總長已達1498km。就結構而言土堤也是土壩。公元前598~591年在安徽省壽縣修建堤堰,形成安豐塘水庫。17和18世紀俄國在烏拉爾等地修了 200多座土壩。19世紀末美國修建一些水力沖填壩,到1900年,美國土壩總數超過100座。
土力學於20世紀成為一門獨立學科,其理論實踐和測試手段日臻完善。近年來大功率高工效的大型土方機械相繼出現,加之土壩本身所具有的上述優點,遂使土壩得到迅速發展,在世界壩工中所占比例日益增加。在1961~1968年世界修建的100m以上高壩中,土壩僅占38%,而1975~1977年迅速提高到62%。蘇聯羅貢壩高335m,為世界最高的壩。自1949~1980年底,在中國已建約2600座大中型水庫大壩中,土壩約占90%。
築壩材料
依其在壩內功用可分為三類。
防滲料
用以填築土壩防滲體,減少庫水滲漏。防滲土料應有較小的滲透係數、較好的滲透穩定性和一定的塑性。粘性土一般都可用作防滲料,但沼澤土、班脫土、地表土及含有未完全分解有機質的土料不宜採用。防滲料鹽類含量不得超過規範的允許值。上壩土料的含水量(水和乾土的重量比)應控制在最優含水量附近,使施加相同的壓實功能可獲得最大幹容重(單位體積乾土重)。如料場的天然含水量過乾或過濕應進行處理。近年來世界上廣泛採用礫石土作為高土壩的防滲料。這種土同時含有粒徑大於5mm的粗粒和小於5mm的細粒,但粗粒含量一般不要超過50%,以滿足防滲要求。礫石土同時具備粗粒土和細粒土的特點,強度高,壓縮性低,透水性小,為理想的防滲料。缺點是抗裂性能差一些。由於礫石土的採用,使防滲土料級配範圍大為擴大(圖1)。除土料外,混凝土、鋼筋混凝土、瀝青混凝土亦可用作防滲料。
土壩
壩殼料
用來填築壩殼,支撐防滲體,保持壩坡穩定,將通過防滲體和壩基的滲水排往下游。砂、砂礫、卵礫石、碎石、石料以及從基坑挖出來的石碴均可用作壩殼料。均勻粉細砂不易壓實,遇地震易液化,應慎用。20世紀60年代以後採用大型震動平碾分薄層壓實壩殼料,使開挖出來的風化岩和軟岩都可上壩,擴大了壩殼料的使用範圍。
反濾料
設在壩內粗細料之間,要求質地緻密堅硬,含泥量不超過 5%。反濾料應既能排水通暢又不讓被保護材料流失。材料級配和層數由計算或試驗確定。反濾料可來自篩分天然砂礫料或人工軋碎的骨料,也可直接採用天然砂礫料。為防止剛度突變而在壩體設定的過渡料,兼具反濾作用,且一般較厚,有利於施工。
分類
土壩按施工方法土壩可分為三類。①碾壓壩:利用碾壓機具分層壓實築壩材料。碾壓壩比較密實,完工後沉陷量較小,一般不超過壩高的1%,抗剪強度較高,壩坡較陡,節省工程量。這種壩歷史悠久,使用最廣。世界上絕大部分土壩都是碾壓壩。以乾容重作為控制碾壓的標準,上壩土料的含水量應控制在最優含水量附近。碾壓壩所用的碾壓機具多種多樣,從人工硪夯到各種不同功率的機械夯碾,可根據築壩材料和氣象條件選用,並通過現場碾壓試驗確定最優碾壓參數,如碾壓層厚度和碾壓遍數等。②水中填土壩:分層將土填入靜水中,土的團粒結構被水崩解,在運土及填土自重作用下得到壓實。所用土料要求遇水容易崩解濕化。水中填土壩塑性大適應變形能力強,基本不用碾壓機具,填築受氣候影響小,對料場含水量要求不嚴格;但施工工序較複雜,填土乾容重低、含水量高,其強度低、壓縮性高,壩坡比碾壓壩緩,完工後沉陷量較大。施工期壩坡穩定為控制大壩安全的關鍵,應嚴格控制填土含水量和壩體上升速度並需設壩內排水。水中填土壩先在蘇聯得到發展,中國已建成700多座。壩高達61.4m的山西汾河水庫水中填土壩建於1960年,為當時世界上最高的水中填土壩。③水力沖填壩:利用水槍、挖泥船等水力機械挖掘土料,和水混合一起,用泥漿泵通過輸泥管送到壩面由土埝圍成的地塊中,水經由排水管排到壩外,土粒沉澱下來,在自重及排水產生的滲透壓力作用下得到壓實。如地形適宜,泥漿可經由渠道自流進入壩面,這在中國被稱為水墜壩。水力沖填壩適用於透水性較強的砂性土,可連續作業,工效高,不用運輸及碾壓機具。這種壩施工期間填土完全被水飽和,乾容重和強度均低,壓縮性高,並在壩體上部形成“流態區”,對上下游壩坡施加泥水推力,易招致滑坡和裂縫,需放緩壩坡,設壩內排水,並限制大壩上升速度。第二次世界大戰後蘇聯曾在齊姆良、古比雪夫等一些大型水利樞紐上修建規模巨大的水力沖填壩。中國建造了很多水墜壩,其中以廣東省68m的高坪壩為最高。
按照築壩材料在壩內的配置可將土壩分為:①均質土壩:壩體主要由一種築壩材料築成。②多種土質壩:壩體由幾種築壩材料築成;防滲料位於壩體中間或上游。③心牆土壩:防滲料位於壩體中間,上下游壩殼為單一的透水料。④斜牆土壩:防滲料位於壩體上游,下游為單一的透水壩殼。
壩體構造
土壩根據自然條件、運用要求和工程設計標準決定。
護坡
為了防止風浪和雨水沖刷,以及凍脹乾裂等有害作用,應設上下游護坡。上游護坡材料可用:拋石、乾砌石、漿砌石、混凝土、鋼筋混凝土、瀝青混凝土等。下游護坡材料可用:乾砌石、碎石、卵石、草皮等。
壩面排水
為了排除壩面雨水,應在下游壩坡設縱橫向排水溝,用以攔截匯集雨水,排到壩下游。
壩頂構造
土壩一般不允許壩頂過水,故壩頂應超出庫水位一定高度,具體超高由計算確定。通常在壩頂上游側用漿砌石、混凝土或鋼筋混凝土等修建堅固不透水的防浪牆。壩頂寬度由施工、運行和交通等要求確定。壩頂蓋面材料常用碎石、單層砌石或預製混凝土塊。
與岸坡及混凝土建築物的連線 與土壩連線的岸坡應處理成上下均勻平順,不得過陡,不出現突變、台階或倒坡,以免土壩因不均勻沉陷而產生裂縫。在岸坡接頭處常將心牆或斜牆局部擴大,以延長接觸面滲徑。對於岩石岸坡通常沿土壩防滲體與基岩接觸面設混凝土齒牆,並在牆底設灌漿帷幕向岸內延伸一定距離,以增加繞壩滲徑。與土壩連線處的附近岸坡,蓄水後應保持穩定,否則應挖成穩定坡或填築壓坡稜體。
土壩與混凝土建築物連線多採用重力牆。按其平面形狀通常分為L型、側牆式和插入式 (圖2)。插入式多用於高壩,其餘多用於中低壩。對於側牆式及插入式常設深入土壩防滲體的刺牆。沿重力牆與土壩防滲體接觸面一定寬度範圍內,最好填築粘性高的土料,以提高抗接觸沖刷能力。為避免不均勻沉陷,重力牆與防滲體接觸不採取垂直坡。
壩基防滲和排水
目的是為蓄水後,保證壩基滲透穩定,控制滲流量。
壩基防滲
土壩①土基:清除腐植土層,然後將表土壓實,沿土壩防滲體與土基接觸面設定若干小齒槽回填防滲料,以
延長滲徑加強連線。②岩基:清除表面鬆動岩石,用水泥砂漿或噴漿封堵表面裂隙;對防滲體下面岩石進行帷幕灌漿。③砂礫地基:如砂礫層不厚,一般開挖截水槽(圖3a<;),用防滲料回填並壓實,將砂礫層截斷。截水槽上下分別與防滲體及基岩連線,必要時在基岩中設定灌漿帷幕。如砂礫層比較厚,可用防滲料填築上游水平鋪蓋與土壩防滲體連線(圖3b),以延長壩基滲徑,保證滲透穩定,但一般對減少壩基滲流量的作用不如垂直防滲。
土壩
深厚砂礫壩基常採用垂直防滲,建造混凝土防滲牆截斷砂礫層(圖3c)。防滲牆上部插入土壩防滲體,下部與基岩連線,必要時在基岩中設灌漿帷幕。加拿大馬尼克三級壩防滲牆深達131m,為世界最深者。如砂礫級配合適,具備適宜吸漿能力,可對砂礫層進行灌漿,形成防滲灌漿帷幕截斷砂礫層(圖3d)。
壩基排水
土壩匯集壩基和壩體滲水排出壩外。排水設施的透水性應遠大於周圍材料並滿足過渡要求。常用的排水形式
有:①稜體排水:設於下游壩址,降低壩體浸潤線,排除壩體和壩基滲水,增加下游壩坡穩定(圖4a)。②貼坡排水:沿下游壩坡鋪設(圖4b),施工和維修均方便但不能降低壩體浸潤線。③壩內排水:常用的有褥墊排水,從下游壩址伸入壩內一定距離(圖4c),常用於弱透水基上的均勻土質壩,降低壩體浸潤線的作用顯著。如排水料不足,可改用網狀排水,由縱向連續排水帶及橫向間隔排水組成(圖4d)。縱向排水帶降低壩體浸潤線並匯集滲水,經橫向間隔排水導出壩外。④減壓井:常設於上下層分別為弱透水層和強透水層,且弱透水層較厚,或強、弱透水層互為夾層的透水基礎中。減壓井一般伸入強透水層一定深度,或將其穿透直抵基岩面,以對壩基排水減壓。滲水經井中濾管和出水管導至地面。如基岩存在幾個強透水層,應分別設定減壓井。⑤排水溝:如表層弱透水層較薄,常將其挖穿直抵下面強透水層,形成排水溝,以排除壩基強透水層中的滲水。
土壩
土壩計算
一般包括以下四個方面。
滲流計算
確定壩體浸潤線、壩體及壩基流網、滲流量及出逸比降、庫水位下降時上游壩體自由水面位置及孔隙壓力(土孔隙中超出大氣壓力的相對壓力值),以供壩坡穩定分析使用,及了解滲漏量並確保滲透穩定。根據壩體和壩基的滲透係數、邊界條件及上下游各種水位組合,通過手繪流網、數值計算和模擬試驗求解。解算時,一般簡化為二向問題,對於三向滲流場如岸邊繞流,可用數值分析或模擬試驗求解。
穩定計算
土壩土壩體積很大,在水壓力作用下整個壩體產生水平滑動的可能性通常不存在,故僅需核算上下游壩坡的抗滑穩定。一般分施工期、穩定滲流期和庫水位降落期三種類型。土體抗剪強度由下式確定:
式中τ為土體抗剪強度;σ為垂直於滑動面的法向總應力;μ為孔隙水壓力;σ′為法向有效應力;σ′、φ′為土料有效抗剪強度指標,分別代表凝聚力和內摩擦角,由試驗確定。
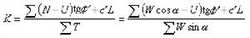
土壩均質土壩、厚心牆和厚斜牆壩常用滑動圓弧法計算壩坡穩定(見下式)。假定滑動面為圓弧,分成若干土條,不計條塊間作用力,計算公式:
式中K為抗滑安全係數,不低於規定值;N、T分別為作用在土條底部的法向和切向應力;W為任一土條重;U為作用在土條底部的孔隙壓力;α為土條重力線與通過土條底面中點的圓弧半徑之間夾
角;L為滑弧穿過的有凝聚力部分的弧長。試算若干滑弧,求得最小安全係數K。20世紀50年代A.W.畢肖甫等人還提出計入條塊間作用力的計算方法。
對於壩基有軟弱夾層或薄心牆、薄斜牆壩,宜用滑楔法(見左圖)。假定滑動面為折線,滑楔間作用力假定平行於坡面或為水平向。沿折線將各種材料的抗剪強度除以K後,滑楔處於極限平衡狀態,此K值即所求安全係數。最小的安全係數由假設不同滑動面試算求得。如在地震區,應將地震力作為外力加入計算。
沉降計算
確定壩體和壩基在自重作用下的總沉降量、沉降量與時間的關係及完工後的沉降量。據此計算竣工後為抵消沉降而預留的壩頂超填,預測不均勻沉降量,判斷壩體產生裂縫的可能性和預防措施。計算方法是根據壩體和壩基土的壓縮曲線,及時刻t壩體和壩基的豎向總應力和孔隙壓力分布,用分層總和法計算。即把壩體壩基分為若干層,計算時刻t各層中心所受豎向有效應力(等於豎向總應力減孔隙壓力)及相應沉降量,將各層沉降量迭加,得時刻t及完工後壩體和壩基的沉降量。
應力應變計算
用有限單元法計算壩體壩基及岸坡接頭在填土自重及其他荷載作用下的填土應力應變,以判斷是否發生剪下破壞、有無過量變形、是否存在拉力區和裂縫、防滲土體是否發生水力劈裂,以及為壩體穩定分析和與土壩銜接建築物的設計提供依據等。

