簡介
由於土壤顆粒、土壤結構體極不規則、因此,土壤孔隙的形狀也極不規則,它是立體的或三維空間的,很難用現代幾何學方法計算出真實的容積和孔徑,如同無法按土較真實的粒徑來劃分粒級一樣難以確定其真實孔徑。目前普遍採用的是以“當量孔徑"代替土壤真實孔徑的方法,如果把土壤孔隙看成毛細管,這些毛細管的孔徑就是土壤孔隙的當量孔徑。
測量方式
當量孔徑的概念是指與一定的土壤水吸力相當的孔徑,叫做當量孔徑(equivalent pore diameter)。
將已知孔徑的圓形毛細管插人水中、由於玻璃為親水性物質,在毛細管內的水氣界面上出現一個凹形彎月面。由於彎月面的彎月形狀,與水平液面相比,液體的表面張力會產生一個向上的附加壓強、使毛細管中的水面會上升到水面以上的某一高度,這種現象一般稱為毛管作用。
計算公式
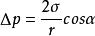
根據毛管理論,該大氣壓提高附加壓強的差值,為負值。與水的表面張力σ、毛細管半徑r以及水與毛細管壁的接觸角α有關,即:
土壤當量孔隙當濕潤礦質土壤顆粒與水和空氣間的接觸角忽略為零時,上式可寫為:
土壤當量孔隙水的表面張力在20℃時可以近似地取75 × 10 N/m,如果Δp用Pa表示,100Pa相當於1 cm水柱高,因此上式用水柱高度表示壓力。可簡化為
土壤當量孔隙式中甘為當量孔徑,單位為mm;h為毛管水上升的高度(cm),實際上是土壤水分在毛管吸力作用下的土壤水分的能態,即水吸力S。
由公式可以看出,毛管內水分上升的高度與毛管的孔徑有關。在一定範圍內,毛管的孔徑越小,上升的高度越大。每一當量孔徑與一定的土壤水吸力相對應,例如。當土壤水吸力為1kpa時,當量孔徑為0.3mm,也就是說,此時的土壤水分是保持在孔徑小於0.3mm的孔隙中,而大於0.3mm的孔隙中則無水。
