簡介
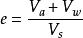
土壤孔隙數量也可用孔隙比(e)來表示,土壤孔隙比是上壤中孔隙的容積與土壤固相容積,亦即固體顆粒容積(Va)的比值。
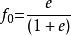
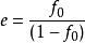
土壤孔隙比孔隙比優於孔隙度之處,在於當孔隙容積發生變化時,只是式中分子改變,而以孔隙度表示孔隙容積變化時,則分數的分子分母都在改變,孔隙比常用於土工和土力學工作中。農業和土壤物理工作中則以孔隙度(f0)為主。e與f0的關係按其定義可簡單推知:
土壤孔隙比
土壤孔隙比土壤總容積(Vt)是上壤中固體顆粒的容積與土壤中各種大小孔隙容積的總和
土壤孔隙比影響因素
土壤的鬆緊狀況是土壤重要的物理性質之一,它育接影響土壤肥力狀況和植物根系的發育。過松的土壤使植物根系難以扎穩,保水能力差,易漏風跑墒,土壤養分也容易隨降水或殖水流失。過緊實的土壤、土壤通氣透水性差,一是容易產生地面積水或地表徑流,二是土內空氣缺乏,影響微生物活動和養分轉化,三是影響耕作質量、幼苗出土和植物根系的正常發育。
套用
一般地說,土壤質地越粗,如砂土,容重越大、而土壤總孔隙度就越小。土壤質地越細,如黏土,容重越小,則土壤總孔隙度就越大。同質地的土壤。由於所在土層位置不同,則上層土壤的孔隙度大於下層土壤的孔隙度、因為上層土壤的容重小於同質地的下層土壤。
