計算
壓縮試驗所得土空隙比與有效壓力對數值關係曲線上直線段的斜率。即 e-lg p 壓縮曲線上大於先期固結壓力後的直線段斜率。
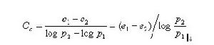
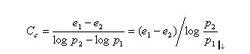
土的e-p曲線改繪成半對數壓縮曲線e-logp曲線時,它的後段接近直線。其斜率Cc為:
土壓縮指數表達式: Cc=(e1-e2)/ ( lgP2-lgP1 )
式中Cc稱為土的壓縮指數。
a-土的壓縮係數,kPa-1或Mpa-1
p1-般是指地基某深處土中豎向自重應力,kPa;
p2-地基某深度處土中自重應力與附加應力之和,kPa
e1-相應於p1作用下壓縮穩定後的孔隙比。
e2-相應於p2作用下壓縮穩定後的孔隙比。
作用
土壓縮指數同壓縮係數a一樣,壓縮指數Cc值越大,土的壓縮性越高。低壓縮性土的Cc值一般小於0.2,Cc值大於0.4一般屬於高壓縮性土。國內外廣泛採用e-logp曲線來分析研究應力歷史對土的壓縮性的影響,這對重要建築物的沉降計算具有現實意義。

