指數定義
平整度測定的方法和儀器有很多,相應採用的指標也很多但各不相同。為了使採用不同的方法和儀器測定的結果可以相互比較,需要尋找一個標準的(或通用的)平整度指標,它應同其他平整度指標有著良好的相關關係。同時,採用反應類平整度儀測定時,為使測定結果具有時間穩定性,必須經常進行標定,而標定曲線的精度取決於標定路段採用的平整度指標同反應類測定系統的相關性。
為了解決上述問題,世界銀行於1982年組織了巴西、英國、美國、法國等國專家參加國際研究小組,並在巴西進行了大規模的路面平整度試驗。在此基礎上,提出採用國際平整度指數(IRI)作為評價標準的建議。
國際平整度指數(IRI)是一項標準化的平整度指標。所示為IRI仿真用的模型。國際平整度指數同反應類平整度測定系統類似,但是採用的是數學模型模擬1/4車輪(即單輪,類似於拖車)以規定速度行駛在路面上,分析行駛距離內動態反應:懸掛系的累積豎向位移量。標準的測定速度規定為80km/h,其測定結果的單位為m/kin。因而,這一指標與反應類儀器的平均調整坡ARS相似,稱作參照平均調整坡(RARS80)。
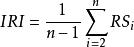
求得每一個位置的變數值後,即可計算該位置的調整坡(RS)。
IRI為路段長度內RS變數的平均值。因此,當每個斷麵點的調整坡求得後,便可按式計算IRI。
國際平整度指數
國際平整度指數依據上述定義和相應理論解編制電算程式,在量測得到縱斷面的高程資料後,便可按抽樣點間距利用此程式計算該段路面平整度的國際平整度指數IRI值。國際平整度指數IRI作為通用指標的效果,可以通過考察不同平整度測定方法的測定結果轉換成以IRI表征後的一致性來判斷。
VBI與其他平整度指標關係的建立
用車載式顛簸累積儀測定的VBI值需要與其他平整度指標(如連續式平整度儀測出的標準差、國際平整度指數等)進行換算時,應將車載式顛簸累積儀的測試結果進行標定,即與相關的平整度儀測量結果建立相關關係,相關係數均不得小於0.90。
為與其他平整度指標建立相關關係,選擇的標定路段應符合下列要求。
①有5~6段不同平整度的現有道路,從好到壞不同程度的都應各有一段。
②每段長宜為250~330m。
③每一段的平整度應均勻,段內應無太大差別。
④標定路段應選縱坡變化較小的平坦、直線地段。
⑤選擇交通量小或可以疏導的路段,減少標定時車輛的干擾。
標定路段起訖點用油漆做好標記,並每隔一定距離做中間標記。標定宜選擇在行車道的輪跡帶上進行。
(1)用連續式平整度儀進行標定
①用於標定的儀器應使用按規定進行校準後能準確測定路面平整度的連續式平整度儀。
②按現行操作規程用連續式平整度儀沿選擇的每個路段全程連續測量平整度3~5次,取其平均值作為該路段的測試結果(以標準差表示)。
③用車載式顛簸累積儀沿各個路段進行測量,重複3~5次後,取其各次顛簸累積值的平均值作為該路段的測試結果,並應與平整度儀的各段測試結果相對應。標定時的測試車速應在30~50km/h範圍內選用一種或兩種穩定的車速分別進行,記錄車速及搭載量,以後測試時的情況應與標定時的相同。
國際平整度指數④將連續式平整度儀測出的標準差及車載式顛簸累積儀測出的顛簸累積值繪製出曲線並進行回歸分析,建立相關關係。
國際平整度指數
國際平整度指數式中:——用連續式平整度儀測定的以標準差表示的平整度(mm);
國際平整度指數——測試速度為U時用顛簸累積儀測得的累積值VBI(cm/km);
a,b——回歸係數。
(2)將車載式顛簸累積儀測定結果換算成國際平整度指數的標定方法
①將所選擇的標定路段在標記上每隔0.25m做出補充標記。
②在每個路段上用經過校準的精密水平儀分別測出每隔0.25m標點上的高程,計算國際平整度指數IRI。
③用車載式顛簸累積儀測試得到各個路段的測試結果。
國際平整度指數④將各個路段的國際平整度指數IRI與顛簸累積值繪製出曲線並進行回歸分析,建立相關關係。
國際平整度指數式中:IRl——國際平整度指數(m/kin);
國際平整度指數——測試速度為"H寸顛簸累積儀測得的顛簸累積值(cm/km);
a,b——回歸係數。
評價標準
IRI標準
對於IRI與路面服務性能之問的關係,一般認為當IRI為零則該斷面很平整,對於IRI的上限並沒有任何規定。但較為一致的看法是當IRI大於8 m/km時就不利於行駛,需要減速。國際上多家研究機構研究了IRI與路面狀況之間的關係並提出其標準,較有影響力的有世界銀行報告、奈米比亞報告及美國密西根大學報告,匯總如圖所示。
國際平整度指數從以上可以看出,各報告所提出的IRI評價標準並不統一,特別是對於好與良好的路面分級標準相差較大,其中以密西根大學所提出的標準最為嚴格。可見,根據各地實際情況提出IRI評價標準很有必要。
RQI標準
在前述評分試驗中,評分人員不僅給出各路段的RQI評分.而且對各路段的行駛舒適性給出“不可接受”、“不確定”和“可接受”三種評價意見。匯總RQI評分值和評價意見,可以整理出不同RQI評分值和評價意見的分布比例。由分布比例為50%的水平交點,可以確定行駛質量的上、下限標準:完全可接受的最低標準和完全不可接受的最高標準,而其間則為不確定的過渡段。

