定義
因果系統,又稱非超前系統 (nonanticipative system)即輸出不可能在輸入到達之前出現的系統。也就是說,系統n時刻的輸出,只取決於系統n時刻以及n時刻之前的輸入,而與n時刻之後的輸入無關。系統的這種性質稱為因果特性。與之相對應的是非因果系統和反因果系統。
非因果系統(noncausal system):指當前時刻的輸出不僅取決於當前的輸入,還取決於將來的輸入的系統。
反因果系統(anticausal system):當前時刻的輸出僅取決於將來的輸入的系統。
判定方法
對於連續時間系統
t=t1的輸出y(t1)只取決於t≤t1的輸入x(t≤t1)時,則此系統為因果系統。特殊的,當該系統為線性移不變系統時:
(1)時域判決:
系統的衝激回響函式h(t),在t<0的條件下,h(t)=0,則此系統為因果系統;如果系統的單位衝激回響在t>0時,h(t)=0,就說該系統是反因果的。
(2)S域判決:
系統函式的收斂域應該是s平面上某一收斂軸的右半平面。換句話說,系統函式的極點只能分布在s平面上收斂軸的左半平面。
因果系統對於離散時間系統
(1)時域判決:
k=k的輸出y(k )只取決於k≤k的輸入x(k≤k)時,則此系統為因果系統。特殊的,當該系統為線性時不變系統時,系統的衝激回響函式h(k),在k<0的條件下,h(k)=0,則此系統為因果系統。即因果系統是激勵加入之前不會出現回響的系統。
(2)頻域判決:
在Z域中,因果系統的判定為:
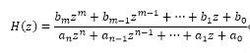
(1)在H(z)中不會出現Z的正冪;
(2) H(z)的收斂域必在某圓外;
(3)在下式中,只有m≤n
因果系統舉例說明
函式:1.y(t)=x(sin(t)) 不是因果系統,因為y(-π)=x(0), 表明 y(t)在一段時間內可能取決於未來的x(t)。
2.y(t)=x(t)cos(t+1)是因果系統,cos(t+1)是時變函式,相當於一個已知的函式波形,所以x(t)的當前值影響了y(t)的當前值。
系統函式
系統函式H(z)可以表示為H(z)=Y(z)/X(z),即輸出信號的Z變換與輸入信號的Z變換的比值。 如果輸入序列是一個單位衝擊函式x(k)=δ(k),則x(k)的Z變換X(z)=1。將其帶入H(z)的表達式得到Y(z)=H(z),這說明如果輸入是一個單位衝擊序列,則輸出信號的Z變換就是H(z),這就是為什麼H(z)叫做單位衝擊回響的原因。當輸入是單位衝擊時,輸出信號y(k)的Z變換Y(z)的極點就是H(z)的極點。
對於任意一個右邊序列a(k),其Z變換A(z)的收斂域位於一個以原點為圓心,以某個數值R為半徑的圓的圓外。又知道,收斂域內不會有極點,所以R就等於A(z)的極點中離原點最遠的那個極點到原點的距離。我們知道傅立葉變換,其思想就是用不同頻率的正弦信號來合成原信號。但是原信號不滿足傅立葉變換的條件時,傅立葉變換也就失去作用了。拉普拉斯變換部分的解決了這個問題,即用幅度隨時間變化的正弦去合成原信號:
exp(σ)cos(ωt+φ)
它不是正弦,而是幅度以e指數規律隨時間變化的正弦。這樣的一組變幅度的正弦信號可以合成隨時間增大而幅度不斷增大的單邊信號。
Z變換可以由拉普拉斯變換導出,相當於s空間進行了某種扭曲。若將採樣頻率Ts歸一化,則z=exp(s)=exp(σ)exp(jω)。|z|=exp(σ),於是,|z|<1時,σ<0,對應的是幅度隨時間不斷衰減的正弦信號;|z|>1時,σ>0,代表幅度隨時間不斷增大的正弦信號。
若H(z)的所有極點都在單位圓內,那么Y(z)的所有極點也都在單位圓內,則Y(z)的收斂域包含了單位圓,這表明,在單位圓內的一個環形區域也屬於Y(z)的收斂域,可以說明,y(k)能夠用一組幅度隨時間減小的正弦信號進行合成,那么y(k)也是幅度隨時間減小的信號。即:對系統輸入一個衝擊後,經過了若干時間,輸出就趨於零了。
若H(z)有極點在單位圓外,則Y(z)有極點在單位圓外,Y(z)的收斂域是一個半徑大於1的圓的圓外部分。這說明,y(k)必須使用一組幅度隨時間增大的正弦才能合成,那么y(k)的幅度是隨著時間增大而增大的,也就是說,系統會不停地輸出,而且輸出越來越大,這一無法控制的局面僅僅是因為我們輸入了一個δ(k)。
