四倍角公式
sin4A=-4*(cosA*sinA*(2*sinA^2-1))
cos4A=1+(-8*cosA^2+8*cosA^4)
tan4A=(4*tanA-4*tanA^3)/(1-6*tanA^2+tanA^4)
推導過程:棣莫佛公式:
四倍角公式
四倍角公式n=4代入得 ,左邊用二項式定理展開可得
四倍角公式根據複數相等的充要條件
四倍角公式
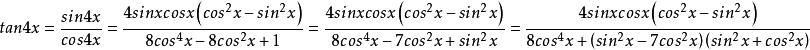
四倍角公式分子分母同除以(cosx)^4並化簡得
四倍角公式四倍角公式是三角函式的倍角公式中的一種。
四倍角公式
sin4A=-4*(cosA*sinA*(2*sinA^2-1))
cos4A=1+(-8*cosA^2+8*cosA^4)
tan4A=(4*tanA-4*tanA^3)/(1-6*tanA^2+tanA^4)
推導過程:棣莫佛公式:
四倍角公式
四倍角公式n=4代入得 ,左邊用二項式定理展開可得
四倍角公式根據複數相等的充要條件
四倍角公式
四倍角公式分子分母同除以(cosx)^4並化簡得
四倍角公式倍角公式,是三角函式中非常實用的一類公式。就是把二倍角的三角函式用本角的三角函式表示出來。在計算中可以用來化簡計算式、減少求三角函式的次數,在工程中也有...
半倍角公式 二倍角公式 三倍角公式 其他公式 其餘倍角公式三角函式是數學中屬於初等函式中的超越函式的一類函式。它們的本質是任何角的集合與一個比值的集合的變數之間的映射。通常的三角函式是在平面直角坐標系中定義的。...
定義式 相關概念 誘導公式 基本公式 輔助角公式常見公式1 過兩點有且只有一條 直線2 兩點之間直 線段最短 3 同角或等角的 補角相等 4 同角或等角的 餘角相等 5 在同一平面內過一點有... 21 全等三角形的對應邊、對應角相等 22 邊角邊公理(SAS) 有兩邊和...
常見公式 三角函式誘導公式 三角 函式公式 三角形定理(A+B)=0 四倍角公式: sin4A=-4*(cosA...)=(cotAcotB+1)/(cotB-cotA) 倍角公式 tan2A...)/(1-6*tanA^2+tanA^4) 五倍角公式...
三倍角公式、四倍角公式等。半角公式半角公式可以利用餘弦函式的二倍角公式求得...計算出其他角和邊。相關定義及公式銳角三角比的定義sinA=角A的對邊/斜邊...,三角比不只是三角函式,兩者之間還有一定的差別。誘導公式公式一設α為任意角...
概述 相關定義及公式 誘導公式 誘導公式記憶口訣 其他三角函式知識半徑*短半徑*PAI*高三角函式: 兩角和公式sin(A+B...+1)/(cotB-cotA)倍角公式tan2α=2tanα/(1-tan...,多看課本。在應試教育中,只有多記公式定理,掌握解題技巧,熟悉各種題型...
基本簡介 相關公式 有關定理 函式知識點四倍角公式sin4A=-4*(cosA*sinA*(2*sinA^2-1...:cotα=∠α的鄰邊/∠α的對邊拓展三倍角公式sin3α=3sin...)五倍角公式sin5A=16sinA^5-20sinA^3...
概述 數學中的含義 三角函式 拓展 正對例題關係式也可得m0=0時,m=0,υ=c時,此公式不成立。有人認為沒有質量怎會...,是光量子、光能轉化為電能的表現。也有人引愛因斯坦質能公式:E=mc^2(E為能量,m為慣性質量,c為光速),認為有質量才有能量,這就和前述質速公式...
簡介 誕生 推導過程 證明 辨析。對這個實驗的解釋只憑摺射率與群速度的關係這個公式是遠遠不夠的,這其中包...
探究報導 歷史研究 相關實驗 光速不變論 其他信息