基本介紹
單項式乘法法則是:幾個單項式相乘,首先把各個單項式的係數相乘的積作為積的係數,然後把相同變數字母的冪相乘,底數不變,指數相加的和作為積里這個變數字母的指數,將只在某一個單項式中含有的變數字母,連同它的指數作為積的一個因式寫在積里,並把最後結果寫成單項式的標準形式Ax y …z (A為單項式係數,k,l,…,g∈Z),例如
單項式乘法法則在計算積的係數時,應先確定其符號,單項式乘以單項式,其結果仍然是單項式 。
例題解析
單項式乘法法則【例1】
單項式乘法法則
單項式乘法法則
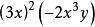
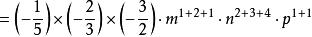
單項式乘法法則【例2】
單項式乘法法則
單項式乘法法則說明:計算中運用了乘法運算律和同底數冪相乘的法則 。
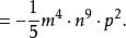
單項式乘法法則【例3】計算。
單項式乘法法則解:原式=
單項式乘法法則
