簡介
單一時間估計法就是在估計各項活動的作業時間時,只確定一個時間值。估計時,應參照過去從事同類活動的統計資料,務求確定的作業時間既符合實際情況,又具有先進性,這種方法常套用於具備作業定額資料的條件下,或者具備類似工序作業時間消耗的統計資料的情況時。單一時間估計法估計一個最可能實現工作的時間,對應於CPM網路。
類似地,三時估計法就是在估計各項活動的作業時間時,先估計出三個時間值,然後再求出完成該活動的作業時間。
計算公式
項目團隊成員要根據自己的經驗和本項目的實際情況,對定額數據進行調整。 利用定額進行時間估算一般採用單一時間估算法。
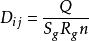
單一時間估計法式中D——完成i-j項工作的持續時間(小時、天、周、月);
Q——該項工作的工作量;
S——產量定額;
R——投入i-j工作的人數或機械台班;
n——工作的班次。
舉例
某工程項目須挖24000立方土方,目前有挖掘機5台,其中3台每班挖100立方,2台每班挖50立方,每天2班制運轉,共需幾天挖完?
答:24000/[(3×100+2×50)×2]=30天
用這種方法估算,一般要求各項工作可變因素少,並且具有一定的時間消耗歷史資料。
活動時間估算基礎
項目活動時間估算,是根據項目範圍及資源狀況計畫列出項目活動所需要的工期。
在估算工期時要充分考慮活動清單、合理的資源需求、人員的能力、環境及風險因素等對項目的影響,使估算的工期現實、有效並能保證質量。
活動時間的影響因素
活動時間是一個隨機變數,項目實際進行時具體會處於何種情況,人們在事前不可能十分清楚。同時,在計畫與實施階段,也要隨著時間的推移和經驗的增多而不斷地重新進行時間估算,以便隨時掌握項目的進度和以後工作需要的時間,避免項目失去控制,造成工期延誤。
需要注意的是,無論採用何種方法,實際花費的時間和事前估算的結果總會有所不同,有一系列因素會對項目的實際完成時間產生影響。
活動時間的影響因素有:
①熟練程度:參與相關活動的人員的熟練程度可能高於平均水平,也可能低於平均水平,這就是的活動進行的實際時間可能會比計畫時間長也可能短;
②工作效率:參與項目工作的人員不可能永遠保持同樣的工作效率。由於主觀或客觀的原因,項目成員的工作能力或效率很難保持穩定;
③突發事件:會對活動的實際需要時間產生影響。在計畫階段考慮所有可能發生的所發事件是不可能的,所要做的就是對此有心理準備,具有控制和調整項目的能力;
④計畫調整:在現實的操作中,總是要隨著項目環境和其他因素的變化做一些必要的、局部的調整,計畫調整需要時間。
⑤誤解和錯誤:需要隨時加以控制,出現錯誤和誤解時予以糾正,而這又會是的實際工作所需要的時間和預計的不盡相同,造成一定程度的延誤。
活動時間估算的依據
要想估算出項目活動時間,需根據具體工作情況、實際資源狀況和計畫安排獲得項目活動單位時間的工作量、項目活動單位時間內投入的資源量及相關定額。
活動時間估算的依據:①項目活動清單;②項目的約束與假設條件;③項目資源的數量要求;④項目資源的質量要求;⑤歷史信息(類似項目的實際項目活動工期檔案、商業性項目工期估算資料庫、項目團隊有關項目工期的知識積累)。
活動時間的構成
工作的持續時間是計畫過程的核心。它與以下因素有關:
①工作量與可用人數
一項工作的周期,取決於要完成的工作的工作量和完成工作可用的人數。
周期=工作量/可用人數
在進行工作時間估算時,需要考慮有效工作時間和自然流逝時間之間的差異。一個人不可能長時間地保持高效率,所以進行估算時需要加以寬限。(有效工作時間,是指人能以飽滿的精力和體力從事工作的時間,即有效率狀態的工作時間。)
在實際周期計算中,還要加上其他一些因素,包括:
②非項目活動消耗掉的損失時間;
③兼職工作;
④人們進行工作時的衝突;
⑤人們進行工作時的交流溝通;
