簡介
哈密頓方程組是與歐拉-拉格朗日方程組等價的一階微分方程組。
以最簡變分積分J(y)為例,做變換
哈密頓方程組則J(y)相應的二階歐拉-拉格朗日方程可化為以y,π為未知函式的一階微分方程組
哈密頓方程組正是兩個未知函式的變分積分
哈密頓方程組的歐拉-拉格朗日方程。
哈密頓方程組
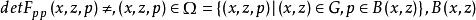
哈密頓方程組一般地,設一元向量函式的變分積分的拉格朗日函式 F(x,z,p) 滿足是 R 中的開集, 是以
哈密頓方程組為元素的 N×N 矩陣,做勒讓德變換
哈密頓方程組
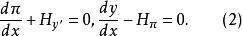
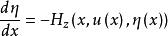
哈密頓方程組令,η 稱為矩,二階歐拉-拉格朗日方程轉換化為一階方程組
哈密頓方程組
哈密頓方程組這個方程組稱為典範方程組或哈密頓方程組,H 稱為哈密頓函式。
性質
光程函式 S滿足哈密頓-雅可比方程
哈密頓方程組哈密頓方程組是變分積分
哈密頓方程組或
哈密頓方程組的歐拉-拉格朗日方程,若哈密頓函式不顯含 x ,則 H 是運動常量,即沿任何解u(x),H 是常數。
